زیرساخت پایدار برگزاری آزمون آنلاین
www.digiform.ir

آزمون ریاضی هشتم ترم اول به صورت دیجی فرم

سلام بچه ها سعی کنید در حل سوالات عجله نکنید

digiform

استفاده از اپلیکیشن ها و پیامرسان ها، پاسخ به تماس ها و استفاده از کلید های پایین موبایل مجاز نیست

زمان تکمیل این آزمون 100 دقیقه میباشد

در هنگام شروع آزمون دوربین فعال میشود



تایید دوربین
نام و نام خانوادگی خود را وارد نمایید *



تایید

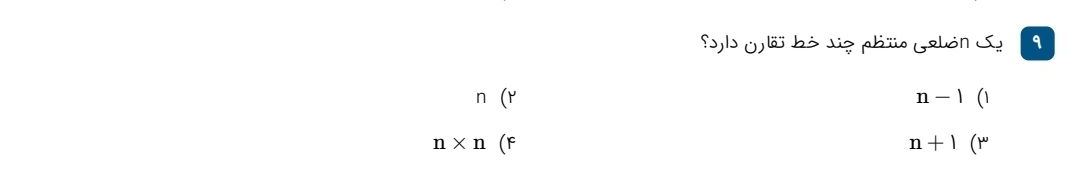
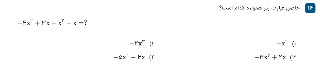
دریافت سوال 16



تایید

دریافت سوال 21



تایید

دریافت سوال 7



تایید

دریافت سوال 20



تایید

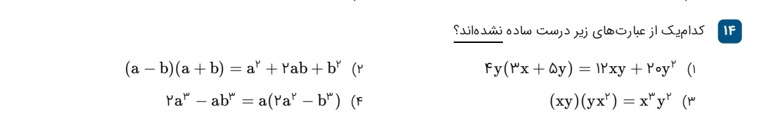
دریافت سوال 14



تایید

دریافت سوال 8



تایید

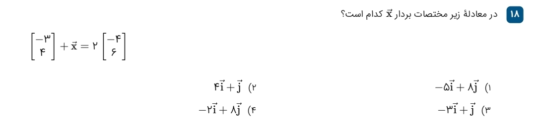
دریافت سوال 18



تایید

دریافت سوال 11



تایید

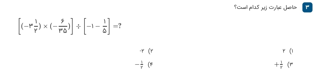
دریافت سوال 3



تایید

دریافت سوال 12



تایید

دریافت سوال 10



تایید

دریافت سوال 2



تایید

دریافت سوال 5



تایید

دریافت سوال 13



تایید

دریافت سوال 9



تایید

دریافت سوال 19



تایید

دریافت سوال 6



تایید

دریافت سوال 15



تایید

دریافت سوال 1



تایید

دریافت سوال 4



تایید

دریافت سوال 17



تایید