زیرساخت پایدار برگزاری آزمون آنلاین
www.digiform.ir

آزمون ریاضی دهم تجربی-فصل ۱(مستمر مهرماه) به صورت دیجی فرم

دختر گلم ابتدا با دقت به سوالات تستی پاسخ بده سپس پاسخ سوالات تشریحی را به صورت شخصی برام ارسال کنید??با تشکر فلاحت

digiform

استفاده از اپلیکیشن ها و پیامرسان ها، پاسخ به تماس ها و استفاده از کلید های پایین موبایل مجاز نیست

زمان تکمیل این آزمون 80 دقیقه میباشد

در هنگام شروع آزمون دوربین فعال میشود



تایید دوربین
نام و نام خانوادگی خود را وارد نمایید *



تایید

کد ملی خود را وارد نمایید *



تایید

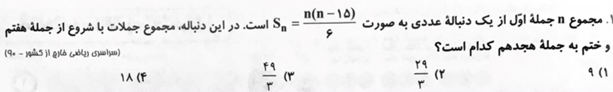
دریافت سوال 1



تایید

دریافت سوال 2



تایید

دریافت سوال 3



تایید

دریافت سوال 4



تایید

دریافت سوال 5



تایید

دریافت سوال 6



تایید

دریافت سوال 7



تایید

دریافت سوال 8



تایید

دریافت سوال 9



تایید

دریافت سوال 10



تایید

دریافت سوال 11



تایید

دریافت سوال 12



تایید