زیرساخت پایدار برگزاری آزمون آنلاین
www.digiform.ir

آزمون سوال 1، معادلات، پایانترم، 28 دی 1400 به صورت دیجی فرم

با توکل بر خدا پاسخ دهید

digiform

استفاده از اپلیکیشن ها و پیامرسان ها، پاسخ به تماس ها و استفاده از کلید های پایین موبایل مجاز نیست

زمان تکمیل این آزمون 22 دقیقه میباشد

پس از پاسخ به هر سوال، امکان بازگشت و ویرایش پاسخ وجود ندارد



تایید و ادامه
نام و نام خانوادگی خود را وارد نمایید *



تایید

شماره دانشجویی خود را وارد نمایید *



تایید

نام استاد خود را وارد نمایید *



تایید

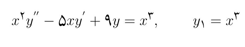
جواب عمومی معادله زیر را بیابید.
دریافت سوال 5



تایید