زیرساخت پایدار برگزاری آزمون آنلاین
www.digiform.ir

آزمون حد به صورت دیجی فرم

با توکل به خدای بزرگ پاسخ دهید.

digiform

استفاده از اپلیکیشن ها و پیامرسان ها، پاسخ به تماس ها و استفاده از کلید های پایین موبایل مجاز نیست

زمان تکمیل این آزمون 24 دقیقه میباشد



تایید و ادامه
نام و نام خانوادگی خود را وارد نمایید *



تایید

شماره دانشجویی خود را وارد نمایید *



تایید

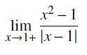
محاسبه کنید
دریافت سوال 3



تایید

محاسبه کنید.
دریافت سوال 8



تایید

محاسبه کنید
دریافت سوال 1



تایید