زیرساخت پایدار برگزاری آزمون آنلاین
www.digiform.ir

آزمون ریاضی ۱ دانشگاه آزاد به صورت دیجی فرم

با رعایت نکات بهداشتی کرونا را شکست می دهیم

digiform

استفاده از اپلیکیشن ها و پیامرسان ها، پاسخ به تماس ها و استفاده از کلید های پایین موبایل مجاز نیست

زمان تکمیل این آزمون 75 دقیقه میباشد



تایید و ادامه
نام و نام خانوادگی خود را وارد نمایید *



تایید

نام استاد خود را وارد نمایید *



تایید

شماره دانشجویی خود را وارد نمایید *



تایید

رشته تحصیلی خود را وارد نمایید *



تایید

گزینه صحیح را انتخاب کنید
دریافت سوال 3



تایید

گزینه صحیح را انتخاب کنید
دریافت سوال 4



تایید

جواب سوال زیر را تایپ کنید
دریافت سوال 7



تایید

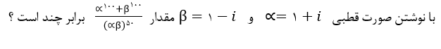
گزینه صحیح را انتخاب کنید
دریافت سوال 2



تایید

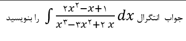
جواب سوال زیر را تایپ کنید
دریافت سوال 6



تایید

جواب سوال زیر را تایپ کنید
دریافت سوال 5



تایید

جواب سوال زیر را تایپ کنید
دریافت سوال 1



تایید