زیرساخت پایدار برگزاری آزمون آنلاین
www.digiform.ir

آزمون مهرماه 1400دهم تجربی دبیرستان حسابی به صورت دیجی فرم

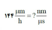
سلام و صبح بخیر خدمت دانش آموزان گرامی- توجه کنید که تمامی تبدیل یکاها را با روش زنجیره ای به دست آورید و نوشتن مراحل در برگه جواب نیز الزامی است.

digiform

استفاده از اپلیکیشن ها و پیامرسان ها، پاسخ به تماس ها و استفاده از کلید های پایین موبایل مجاز نیست

زمان تکمیل این آزمون 20 دقیقه میباشد

پس از پاسخ به هر سوال، امکان بازگشت و ویرایش پاسخ وجود ندارد



تایید و ادامه
نام و نام خانوادگی خود را وارد نمایید *



تایید

نام معلم خود را وارد نمایید *



تایید

نام مدرسه خود را وارد نمایید *



تایید

به کمک روش زنجیره ای تبدیل واحد زیر را حساب کنید . 2/8dg*μm/min2 = ? kg*m/s2



تایید

قطره بارانی از ابری می چکد نیروهای وارد بر این قطره در حین سقوط را مدل سازی کنید؟



تایید

تبديل زير را به روش زنجیره ای انجام دهید.(جواب را بصورت نمادگذاری علمی بنویسید.)
دریافت سوال 6



تایید