زیرساخت پایدار برگزاری آزمون آنلاین
www.digiform.ir

آزمون پایانی ترم دوم فیزیک یازدهم تجربی (لینک مسئله) به صورت دیجی فرم

سلام به دخترهای گلم آزمون شما شامل 10 سوال تستی در زمان 90 دقیقه میباشد. امکان بازگشت به سوال قبل وجود ندارد و هر سوال برای شما فقط یکبار ظاهر می‌شود. درزمان امتحان اگر سایت برای شما تقلب ثبت کند امتحان شما به هیچ عنوان تصحیح نمی‌شود. لطفا در همان زمان تعیین شده امتحان پس از کلیک روی تایید نهایی پاسخهای خود را عکس گرفته و در پی وی بنده ارسال کنید. تصویر پاسخهای شما بعد از زمان امتحان پذیرفته نمی‌شود. درقسمت نام و نام خانوادگی شماره کلاس خود را وارد کنید. با دقت و آرامش به سوالات پاسخ دهید.   موفق و پیروز باشید.             طاهری 

digiform

استفاده از اپلیکیشن ها و پیامرسان ها، پاسخ به تماس ها و استفاده از کلید های پایین موبایل مجاز نیست

زمان تکمیل این آزمون 90 دقیقه میباشد

پس از پاسخ به هر سوال، امکان بازگشت و ویرایش پاسخ وجود ندارد



تایید و ادامه
نام و نام خانوادگی خود را وارد نمایید *



تایید

سه ذره باردار در سه رأس مثلث قائم الزاویه ثابت شده اند. بزرگی نیروی برایند وارد بر  بار الکتریکی واقع در راس قائمه را را محاسبه کنید؟  (1 نمره)
دریافت سوال 1



تایید

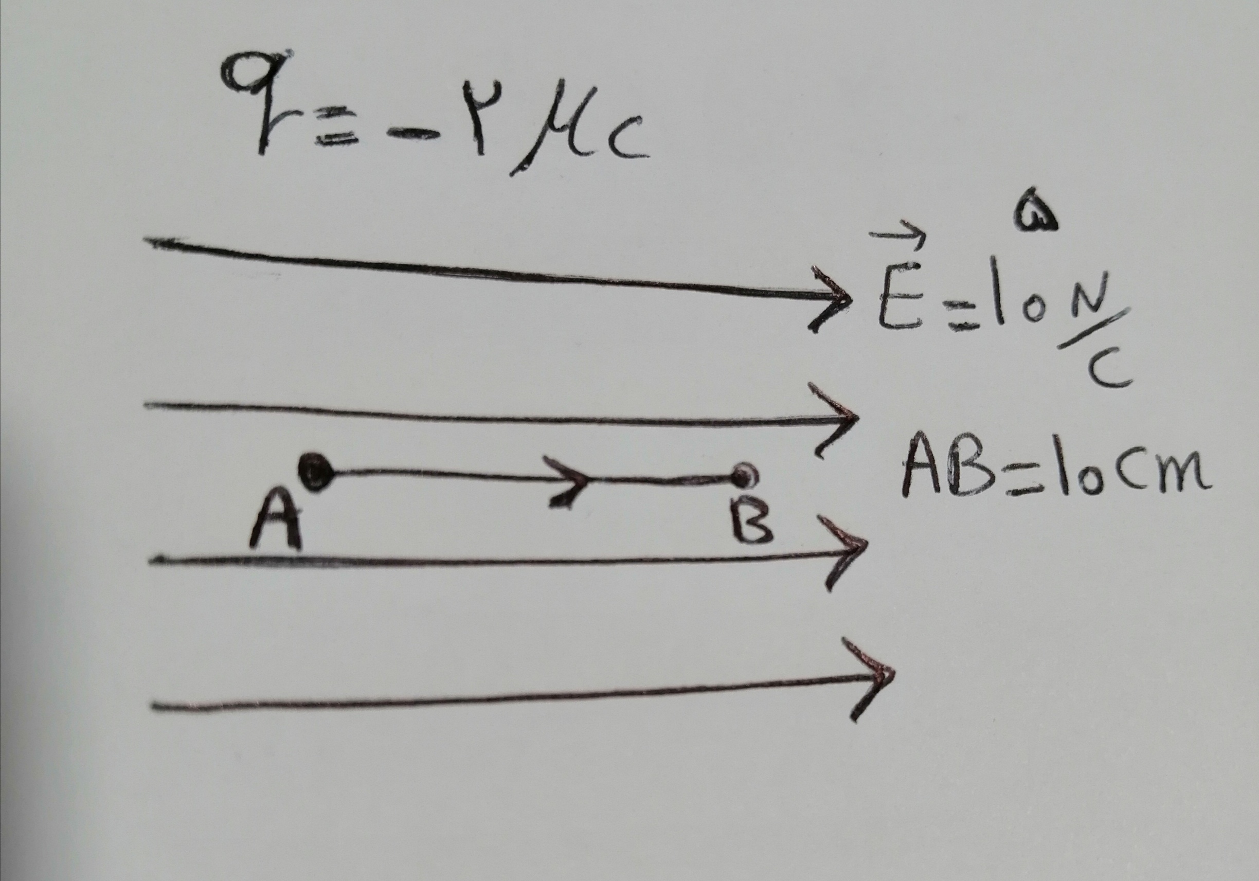
در میدان الکتریکی مطابق شکل زیر بار الکتریکی را از نقطه  A تا نقطه B  جابجا می کنیم اگر میدان الکتریکی یکنواخت باشد.
 1) کار انجام شده در این جابجایی را به دست آورید؟ 
2) اگر جرم ذره  10  گرم باشد سرعت آن هنگام رسیدن به نقطه A  چقدر است ؟
(1 نمره)
دریافت سوال 3



تایید

معادله جریان _ زمان یک مولد جریان متناوب به صورت زیر است.

1) دوره تناوب را حساب کنید.

2) جریان در لحظه  0/001   ثانیه چقدر است؟ 
(1 نمره)
دریافت سوال 19



تایید

در مدار نشان داده شده در شکل توان خروجی باتری را به دست آورید؟  (1 نمره)
دریافت سوال 7



تایید

از سیملوله ای آرمانی به طول  ۳۰  سانتی متر جریانی به شدت   0/5   آمپر عبور می کند.  اگر بزرگی میدان  درون سیملوله  200   گاوس باشد. تعداد دورهای این سیملوله چقدر است؟  (1 نمره)
دریافت سوال 15



تایید

مقاومت معادل شکل زیر را حساب کنید؟  (1 نمره)
دریافت سوال 10



تایید

نمودار جریان متناوب یک مولد مطابق شکل زیر است معادله این جریان متناوب کدام است؟  (1 نمره)
دریافت سوال 20



تایید

در مکانی که میدان مغناطیسی یکنواخت  100   گاوس برقرار است. ذره‌ای با بار الکتریکی منفی   ۱۶ میکروکولن با سرعت   ۲۰00۰   متر بر ثانیه به سمت مغرب در حرکت است.

1) نیروی مغناطیسی وارد بر ذره چند نیوتن است؟ 

2) جرم ذره بر حسب گرم چقدر است؟
(1 نمره)



تایید

ذره ای با بار الکتریکی یک میکرو کولن و جرم  ۴  گرم با سرعت  100000    متر بر ثانیه در جهت شمال به جنوب عمود بر میدان مغناطیسی افقی وارد می شود میدان مغناطیسی چقدر است؟  (1 نمره)



تایید

یک سیم پیچ با   ۱۰   دور سیم که مساحت هر حلقه آن   ۱۰۰   سانتی متر مربع است داریم.  در ابتدا سطح حلقه ها موازی میدان مغناطیسی می باشد. اگر در مدت    0/1   ثانیه پیچه بچرخد و سطح حلقه ها بر میدان عمود شوند. نیروی محرکه القایی چقدر است  ؟ (میدان مغناطیسی    0/75    تسلا می‌باشد.)  (1 نمره)



تایید