زیرساخت پایدار برگزاری آزمون آنلاین
www.digiform.ir

آزمون ریاضی یازدهم فنی به صورت دیجی فرم

به نام آنکه فکرت را آموخت. تمام پودمانها در همین فرم هستند با توجه به شماره پودمان افتاده سوالها را پاسخ دهید

digiform

استفاده از اپلیکیشن ها و پیامرسان ها، پاسخ به تماس ها و استفاده از کلید های پایین موبایل مجاز نیست

زمان تکمیل این آزمون 70 دقیقه میباشد



تایید و ادامه
نام و نام خانوادگی خود را وارد نمایید *



تایید

شماره کلاس خود را وارد نمایید *



تایید

نام معلم خود را وارد نمایید *



تایید

پودمان اول سوال اول
دریافت سوال 1



تایید

سوال دوم
دریافت سوال 2



تایید

سوال سوم
دریافت سوال 3



تایید

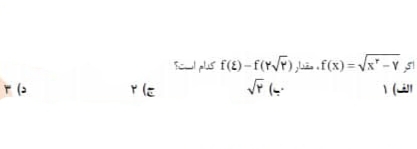
سوال ۴
دریافت سوال 4



تایید

سوال ۵ آیا محیط یک دایره تابعی از شعاع ان است؟ مساحت چطور؟



تایید

پودمان دوم سوال اول
دریافت سوال 6



تایید

سوال دوم
دریافت سوال 7



تایید

سوال سوم
دریافت سوال 8



تایید

سوال چهارم
دریافت سوال 9



تایید

سوال پنجم
دریافت سوال 10



تایید

پودمان سوم سوال اول
دریافت سوال 11



تایید

سوال دوم حاصل عبارت ° Sin 240 کدام است؟
دریافت سوال 12



تایید

سوال ۳.بیشترین مقدار عبارت a=2+3sin x کدام است؟



تایید

سوال ۴ انتهای کمان روبرو به کدام زاویه درربع سوم قرار میگیرد؟



تایید

سوال ۵ اگر tan x>0 و sin x<0 باشد،انتهای کمان x درکدام ناحیه ی مثلثاتی قرار دارد؟



تایید

پودمان چهارم سوال اول
دریافت سوال 16



تایید

پودمان۴ سوال دوم
دریافت سوال 17



تایید

سوال سوم
دریافت سوال 18



تایید

سوال چهارم
دریافت سوال 19



تایید

پودمان ۴ سوال پنجم
دریافت سوال 20



تایید

پودمان ۵ سوال اول در نمودارهای زیر کدام یک افزایشی میباشد؟
دریافت سوال 21



تایید

پودمان ۵ سوال ۲ چه تعداد از داده های یک مجموعه بین چارک اول و سوم قرار میگیرد؟



تایید

پودمان ۵ سوال۳ باتوجه به داده ها و نمودار ،مقدار مجهول را مشخص کنید.
دریافت سوال 23



تایید

سوال چهارم) در داده های زیر اگر میانه ۱۷ باشد. □چه اعدادی میتوانند باشند؟ ۱۱ ۱۲ ۱۳ ۱۴ ۱۵ □ ۱۷ ۱۸ ۱۹ ۱۹ ۲۰ ۲۰



تایید

سوال ۵ نمودار جعبه ای زیر نشان دهنده ی امتیازات ، دوبازیکن بسکتبال است. کدام گزینه نادرست میباشد؟
دریافت سوال 25



تایید