زیرساخت پایدار برگزاری آزمون آنلاین
www.digiform.ir

آزمون آغازین ریاضی یازدهم ریاضی به صورت دیجی فرم

به هفت سوال اول پاسخ دهید

digiform

استفاده از اپلیکیشن ها و پیامرسان ها، پاسخ به تماس ها و استفاده از کلید های پایین موبایل مجاز نیست



تایید و ادامه
نام و نام خانوادگی خود را وارد نمایید *



تایید

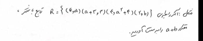
سوال 12 مقادیر x و y بدست آورید
دریافت سوال 12



تایید

سوال 13 مقادیر x و y بدست آورید
دریافت سوال 13



تایید

سوال 2
دریافت سوال 2



تایید

سوال 6
دریافت سوال 6



تایید

سوال 15
دریافت سوال 15



تایید

سوال 3
دریافت سوال 3



تایید

سوال 5
دریافت سوال 5



تایید

سوال 9
دریافت سوال 9



تایید

سوال 10
دریافت سوال 10



تایید

سوال 1
دریافت سوال 1



تایید

سوال 19
دریافت سوال 19



تایید

سوال 20
دریافت سوال 20



تایید

سوال 7
دریافت سوال 7



تایید

سوال 22
دریافت سوال 22



تایید

سوال 16
دریافت سوال 16



تایید

سوال 11
دریافت سوال 11



تایید

سوال 21
دریافت سوال 21



تایید

سوال 4
دریافت سوال 4



تایید

سوال 17
دریافت سوال 17



تایید

سوال 14
دریافت سوال 14



تایید

سوال 18
دریافت سوال 18



تایید

سوال 8
دریافت سوال 8



تایید