زیرساخت پایدار برگزاری آزمون آنلاین
www.digiform.ir

آزمون امتحان آنلاین نوبت دوم دبیرستان ولایت- پایه هفتم به صورت دیجی فرم

هر سوال یک نمره دارد

digiform

استفاده از اپلیکیشن ها و پیامرسان ها، پاسخ به تماس ها و استفاده از کلید های پایین موبایل مجاز نیست

زمان تکمیل این آزمون 60 دقیقه میباشد



مرحله بعد
نام و نام خانوادگی خود را وارد نمایید *



تایید

کد ملی خود را وارد نمایید *



تایید

نام پدر خود را وارد نمایید *



تایید

شماره موبایل خود را وارد نمایید *



تایید

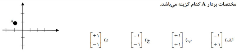
(1 نمره)
دریافت سوال 8



تایید

(1 نمره)
دریافت سوال 1



تایید

(1 نمره)
دریافت سوال 12



تایید

(1 نمره)
دریافت سوال 20



تایید

(1 نمره)
دریافت سوال 2



تایید

(1 نمره)
دریافت سوال 7



تایید

(1 نمره)
دریافت سوال 11



تایید

(1 نمره)
دریافت سوال 6



تایید

(1 نمره)
دریافت سوال 5



تایید

(1 نمره)
دریافت سوال 16



تایید

(1 نمره)
دریافت سوال 17



تایید

(1 نمره)
دریافت سوال 15



تایید

(1 نمره)
دریافت سوال 13



تایید

(1 نمره)
دریافت سوال 14



تایید

(1 نمره)
دریافت سوال 9



تایید

(1 نمره)
دریافت سوال 4



تایید

(1 نمره)
دریافت سوال 10



تایید

(1 نمره)
دریافت سوال 18



تایید

(1 نمره)
دریافت سوال 19



تایید

(1 نمره)
دریافت سوال 3



تایید