زیرساخت پایدار برگزاری آزمون آنلاین
www.digiform.ir

آزمون نیمه ی اول فصل دوم فیزیک دوازدهم ریاضی (دینامیک) به صورت دیجی فرم

اگر مى خواهيد خوشبخت شويد؛ زندگى را به اهداف گره بزنيد. نه به آدم ها و اشياء ... آلبرت انيشتين

digiform

استفاده از اپلیکیشن ها و پیامرسان ها، پاسخ به تماس ها و استفاده از کلید های پایین موبایل مجاز نیست

زمان تکمیل این آزمون 45 دقیقه میباشد



تایید و ادامه
نام و نام خانوادگی خود را وارد نمایید *



تایید

دریافت سوال 1



تایید

دریافت سوال 2



تایید

دریافت سوال 3



تایید

دریافت سوال 4



تایید

دریافت سوال 5



تایید

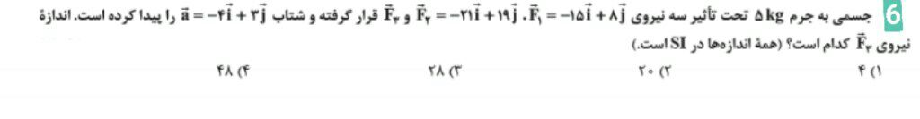
دریافت سوال 6



تایید

دریافت سوال 7



تایید

دریافت سوال 8



تایید