زیرساخت پایدار برگزاری آزمون آنلاین
www.digiform.ir

آزمون کپی از آزمون ریاضی 1 دبیرستان امام(ره) شهربابک (خرداد 1400) به صورت دیجی فرم

دوستان عزیز بادقت به سوالات پاسخ دهید .(بهزادی)

digiform

استفاده از اپلیکیشن ها و پیامرسان ها، پاسخ به تماس ها و استفاده از کلید های پایین موبایل مجاز نیست

زمان تکمیل این آزمون 60 دقیقه میباشد

پس از پاسخ به هر سوال، امکان بازگشت و ویرایش پاسخ وجود ندارد



تایید و ادامه
نام و نام خانوادگی خود را وارد نمایید *



تایید

کد ملی خود را وارد نمایید *



تایید

شماره موبایل خود را وارد نمایید *



تایید

رشته تحصیلی خود را وارد نمایید *



تایید

اگر A و B دو پیشامد از فضای نمونه ای S باشند و B زیر مجموعه ی A باشد . آنگاه : (1 نمره)
دریافت سوال 52



تایید

کدام گزینه در مورد سهمی زیر صحیح نمی باشد؟ (1 نمره)
دریافت سوال 18



تایید

کسینوس یک زاویه در ناحیه اول با افزایش زاویه ........... پیدا می کند. (1 نمره)



تایید

برای یک تابع خطی می دانیم که : f(-1) = 7 و f(3) = -1 نمایش جبری تابع کدام است؟ (1 نمره)



تایید

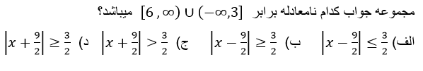
(1 نمره)
دریافت سوال 24



تایید

هردنباله یا حسابی است یا هندسی . (1 نمره)



تایید

با توجه به شکل معادله خط کدام است؟ (1 نمره)
دریافت سوال 19



تایید

مقادیر m وn چه باشند تا f={(1,2),(2,m+1),(1,m),(m,n)} یک تابع باشد. (1 نمره)



تایید

حاصل عبارت زیر برابر است با : (1 نمره)
دریافت سوال 15



تایید

 باتوجه به شکل حداقل چند نقطه حذف شود تا شکل زیرنمودار یک تابع باشد؟ (1 نمره)
دریافت سوال 33



تایید

هرتابعی که دامنه وبرد برابری داشته باشد، تابع همانی است . (1 نمره)



تایید

یک تاس و دو سکه راباهم می اندازیم احتمال اینکه « هر دو سکه رو یا تاس عدد سه بیاید » چقدراست؟ (1 نمره)
دریافت سوال 49



تایید

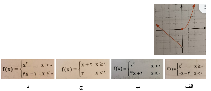
 کدام ضابطه مربوط به نمودار تابع زیر می باشد؟ (1 نمره)
دریافت سوال 35



تایید

نقطه (3 و 1 ) مختصات راس سهمی زیر می باشد. (1 نمره)
دریافت سوال 16



تایید

رابطه ی زیر همواره درست است . (1 نمره)
دریافت سوال 13



تایید

مثال مقابل مربوط به اصل ضرب است یا اصل جمع: فردی می خواهد با اتومبیل ازتهران به اصفهان برود اگر ازقم عبور کند وازتهران به قم دومسیر واز قم به اصفهان پنج مسیرداشته باشیم.این فرد به چند طریق می تواند از تهران به اصفهان برود؟ (1 نمره)



تایید

درستی یا نادرستی تساوی زیر را مشخص کنید. (1 نمره)
دریافت سوال 4



تایید

در یک دنباله حسابی جملات پنجم ونهم 17 و33 می باشند . جمله پانزدهم دنباله را بدست آورید. (1 نمره)



تایید

در جعبه ای 4 مهره ی آبی و 3 مهره ی قرمز وجود دارد . سه مهره به تصادف خارج می کنیم احتمال اینکه هیچ کدام همرنگ نباشند کدام است ؟ (1 نمره)
دریافت سوال 50



تایید

(1 نمره)
دریافت سوال 17



تایید