زیرساخت پایدار برگزاری آزمون آنلاین
www.digiform.ir

آزمون آغازین درس ریاضی به صورت دیجی فرم

لطفا مشخصات خواسته شده را با دقت وارد نمایید. هر دانش آموز فقط یکبار می تواند در آزمون شرکت کند. سوالات بصورت تصادفی نمایش داده می شوند. سوالات یکبار نمایش داده می شوند ، توجه کنید پس از نمایش هر سوال جواب آن را علامت بزنید (امکان بازگشت به سوالات قبلی وجود ندارد). ارزش هر سوال ، یک نمره است. آزمون 20 نمره ای می باشد. حتما در انتهای آزمون گزینه ثبت نهایی را بزنید.

digiform

استفاده از اپلیکیشن ها و پیامرسان ها، پاسخ به تماس ها و استفاده از کلید های پایین موبایل مجاز نیست

زمان تکمیل این آزمون 30 دقیقه میباشد

پس از پاسخ به هر سوال، امکان بازگشت و ویرایش پاسخ وجود ندارد



تایید و ادامه
نام و نام خانوادگی خود را وارد نمایید *



تایید

شماره کلاس خود را وارد نمایید *



تایید

گزینه مناسب را انتخاب کنید. هرگاه حاصلضرب دو عدد برابر 1 باشد ، آن دو عدد را .............. یکدیگر می نامند. همه ی اعداد به جز ............ معکوس دارند. الف) قرینه - صفر ب) معکوس - 1 ج)قرینه - 1 د) معکوس - صفر



تایید

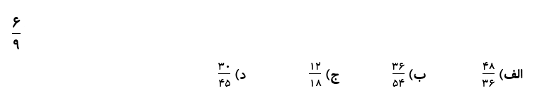
حاصل عبارت زیر کدام است؟
دریافت سوال 16



تایید

محیط و مساحت شکل مقابل ، به ترتیب چقدر است؟ (از راست به چپ)
دریافت سوال 7



تایید

یک باغچه ی مستطیل شکل با ابعاد داده شده داریم. محیط و مساحت این باغچه به ترتیب کدام است؟ (از راست به چپ)
دریافت سوال 18



تایید

طول و عرض و ارتفاع اتاقی به ترتیب 5و4و3 متر است.اگر 1/5 هوای اتاق اکسیژن باشد، چند متر مکعب اکسیژن در هوا است؟ الف) 60 ب) 12 ج) 48 د) 20



تایید

کدامیک از دسته کسرها از کوچک به بزرگ مرتب شده اند؟ (از راست به چپ)
دریافت سوال 5



تایید

کدام کسر ، با کسر داده شده ، مساوی نیست؟
دریافت سوال 13



تایید

در تقریب اعداد به روش ........... ، رقم های ........... رقم مورد تقریب را با صفر جایگزین می کنیم. الف) قطع کردن-سمت چپ ب) گرد کردن-سمت راست ج) گرد کردن-سمت چپ د) قطع کردن-سمت راست



تایید

گزینه مناسب را انتخاب کنید. وقتی شکلی به اندازه ی .......... حول نقطه ای بچرخد و روی خودش منطبق شود ، می گوییم شکل ......... دارد. الف) 180 درجه-تقارن ب) 90 درجه-دوران ج) 180 درجه-دوران د) 90 درجه-تقارن



تایید

مختصات نقاط مشخص شده در شکل زیر ، کدامند؟
دریافت سوال 6



تایید

کدامیک از اعداد اعشاری ، از نصف کسر داده شده ، کمتر است؟
دریافت سوال 15



تایید

کدام یک از تقسیم ها درست انجام شده است؟
دریافت سوال 12



تایید

حاصل عبارت زیر کدام است؟ 3 + (((0/02 - 0/71 + 1) - 3) + 5 الف) 5/69 ب) 6/31 ج) 10/69 د) 9/31



تایید

حاصلضرب عبارت داده شده ، با حاصلضرب کدام عبارت برابر است؟
دریافت سوال 17



تایید

حاصل کدام عبارت بزرگتر است؟
دریافت سوال 14



تایید

گزینه مناسب را انتخاب کنید.
دریافت سوال 8



تایید

قیمت یک کتاب 24000 تومان است. اگر فروشنده بخواهد آن را با 10 درصد تخفیف بفروشد ، کتاب چند تومان به فروش می رسد؟ الف) 21400 ب) 3400 ج) 21600 د) 2400



تایید

حاصل عبارت زیر کدام گزینه است؟
دریافت سوال 4



تایید

اعداد کدام عبارت ، هم بر 2 و هم بر 5 بخش پذیرند؟ الف) 10 و 2555 و 354 ب) 60 و 95 و 172 ج) 255 و 75 و 85 د) 1700 و 100 و 80



تایید

حاصل عبارت زیر به کدام یک از عددها نزدیک است؟
دریافت سوال 2



تایید