زیرساخت پایدار برگزاری آزمون آنلاین
www.digiform.ir

آزمونک نهم- ۲۲ شهریور به صورت دیجی فرم

فقط سه سوال... فرصت آزمون ده دقیقه.آزمون و بدین و بعد بریم ادامه درس... کلیپ رو ببینید و تمرین های کتاب درس سوم رو واسم بفرستین....

digiform

استفاده از اپلیکیشن ها و پیامرسان ها، پاسخ به تماس ها و استفاده از کلید های پایین موبایل مجاز نیست

زمان تکمیل این آزمون 10 دقیقه میباشد



تایید و ادامه
نام و نام خانوادگی خود را وارد نمایید *



تایید

کد ملی خود را وارد نمایید *



تایید

دریافت سوال 3



تایید

دریافت سوال 2



تایید

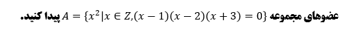
دریافت سوال 1



تایید