زیرساخت پایدار برگزاری آزمون آنلاین
www.digiform.ir

آزمون امتحان مستمر اسفند پایه هشتم به صورت دیجی فرم

digiform

استفاده از اپلیکیشن ها و پیامرسان ها، پاسخ به تماس ها و استفاده از کلید های پایین موبایل مجاز نیست

زمان تکمیل این آزمون 50 دقیقه میباشد

پس از پاسخ به هر سوال، امکان بازگشت و ویرایش پاسخ وجود ندارد



مرحله بعد
نام و نام خانوادگی خود را وارد نمایید *



تایید

شماره کلاس خود را وارد نمایید *



تایید

نام مدرسه خود را وارد نمایید *



تایید

حاصل عبارت زیر را بدست آورید ؟
دریافت سوال 1



تایید

حاصل عبارت زیر را بدست آورید ؟
دریافت سوال 2



تایید

حاصل عبارت زیر را بدست آورید ؟علامت /نماد خط کسری است 
دریافت سوال 3



تایید

مجموع زاویه های داخلی ۱۵ضلعی منتظم را بدست آورید ؟



تایید

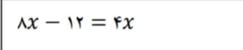
معادله زیر را حل کنید 
دریافت سوال 5



تایید

در شکل مقابل مقدار Xرا بدست آورید 
دریافت سوال 6



تایید

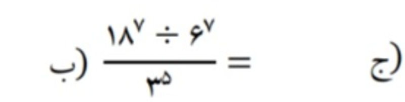
حاصل عبارت زیررابصورت عدد توان دار بنویسید 
دریافت سوال 7



تایید

حاصل عبارت زیر را به صورت عدد توان دار بنویسید 
دریافت سوال 8



تایید

دریافت سوال 9



تایید