زیرساخت پایدار برگزاری آزمون آنلاین
www.digiform.ir

آزمون ازمون تشخیصی( اغازین) دوازدهم تجربی به صورت دیجی فرم

ارزوی موفقیت برای دانش اموزان عزیز . این ازمون جهت پی بردن به میزان اطلاعات شما از مطالب سال گذشته است.

digiform

استفاده از اپلیکیشن ها و پیامرسان ها، پاسخ به تماس ها و استفاده از کلید های پایین موبایل مجاز نیست

زمان تکمیل این آزمون 20 دقیقه میباشد



تایید و ادامه
نام و نام خانوادگی خود را وارد نمایید *



تایید

نام مدرسه خود را وارد نمایید *



تایید

شماره کلاس خود را وارد نمایید *



تایید

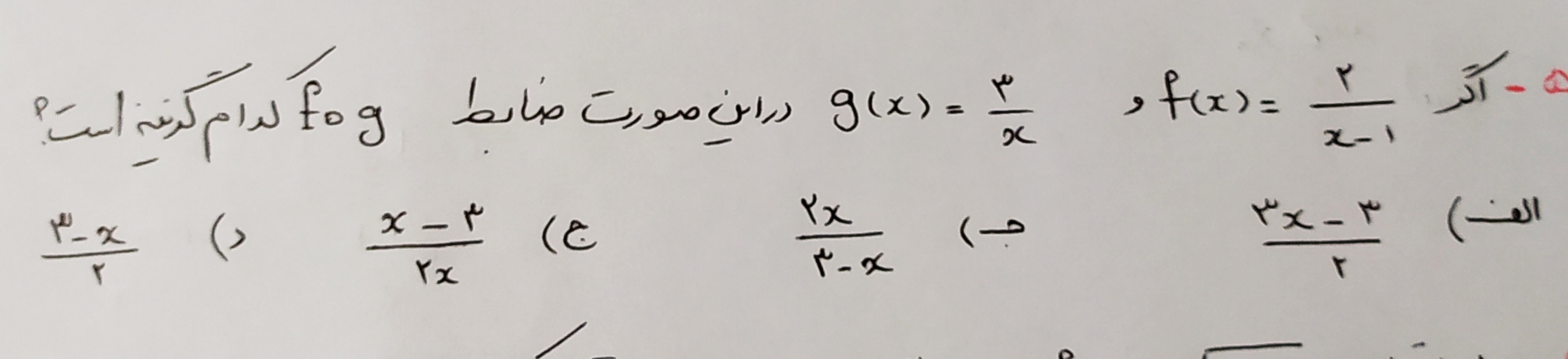
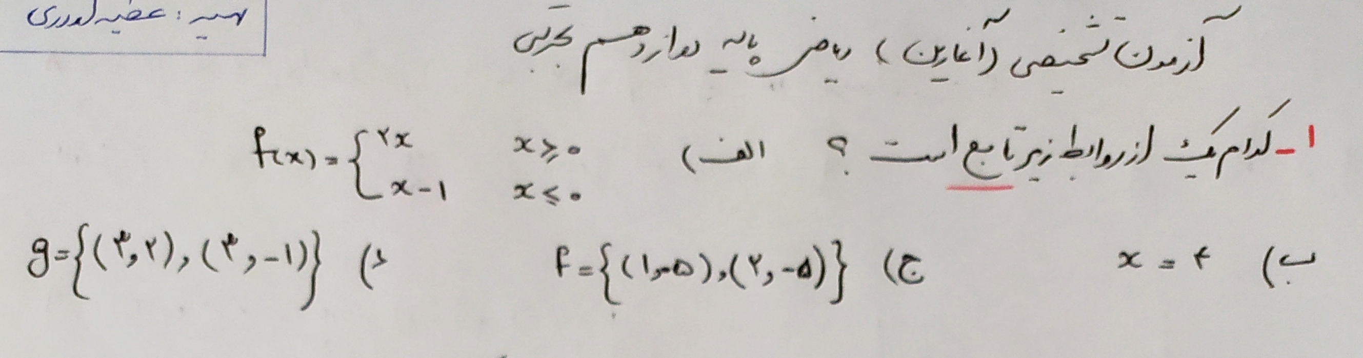
دریافت سوال 1



تایید

دریافت سوال 2



تایید

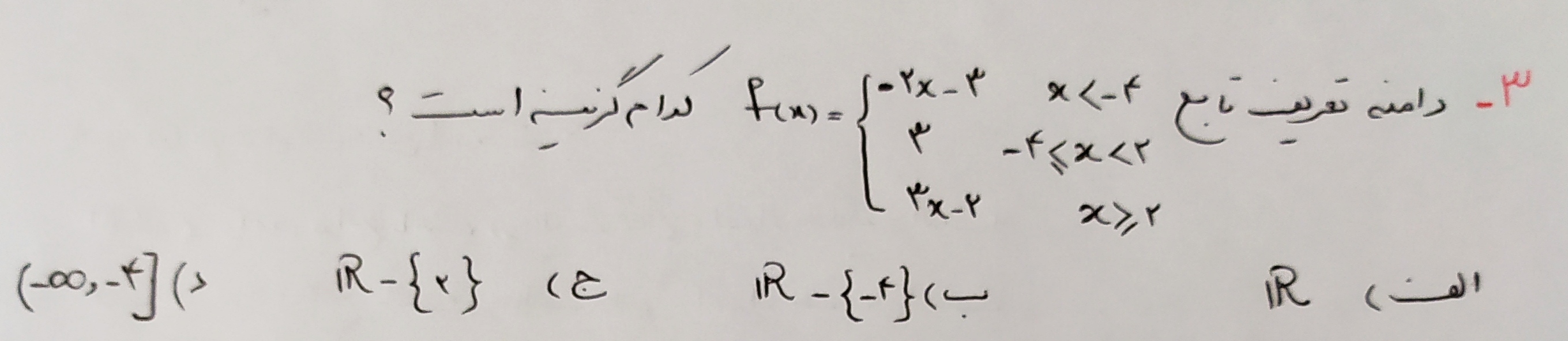
دریافت سوال 3



تایید

دریافت سوال 4



تایید

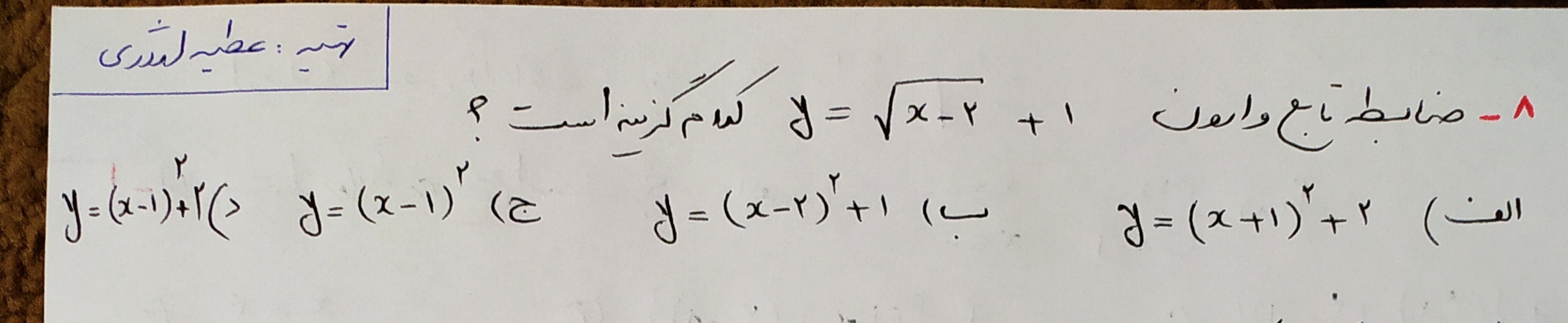
دریافت سوال 5



تایید

دریافت سوال 6



تایید

دریافت سوال 7



تایید

دریافت سوال 8



تایید

دریافت سوال 9



تایید

دریافت سوال 10



تایید