زیرساخت پایدار برگزاری آزمون آنلاین
www.digiform.ir

آزمون ریاضی 2 خرداد 1400 به صورت دیجی فرم

تعداد سوالات ده سوال و مدت آزمون 50 دقیقه سوالات تصادفی است 

digiform

استفاده از اپلیکیشن ها و پیامرسان ها، پاسخ به تماس ها و استفاده از کلید های پایین موبایل مجاز نیست

زمان تکمیل این آزمون 60 دقیقه میباشد



مرحله بعد
نام و نام خانوادگی خود را وارد نمایید *



تایید

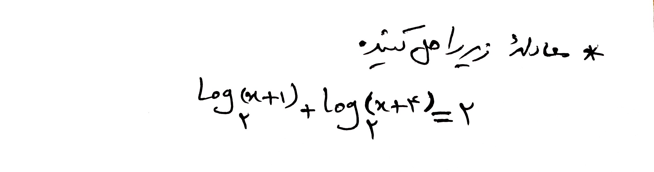
(1 نمره)
دریافت سوال 10



تایید

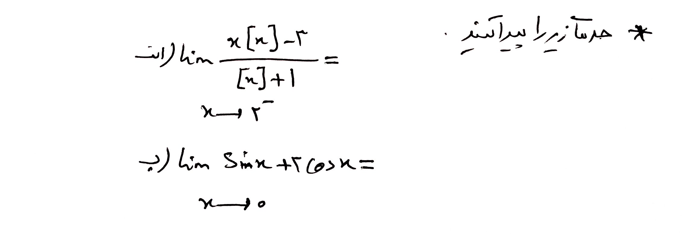
(1 نمره)
دریافت سوال 25



تایید

(1 نمره)
دریافت سوال 11



تایید

(1 نمره)
دریافت سوال 9



تایید

(1 نمره)
دریافت سوال 21



تایید

(1 نمره)
دریافت سوال 5



تایید

(1 نمره)
دریافت سوال 13



تایید

(1 نمره)
دریافت سوال 8



تایید

(1 نمره)
دریافت سوال 18



تایید

(1 نمره)
دریافت سوال 17



تایید