زیرساخت پایدار برگزاری آزمون آنلاین
www.digiform.ir

آزمون ریاضی دهم تجربی ، سوالات فصل 4 و 5، تعداد 3 سوال به صورت دیجی فرم

با توکل به خدای بزرگ پاسخ دهید.

digiform

استفاده از اپلیکیشن ها و پیامرسان ها، پاسخ به تماس ها و استفاده از کلید های پایین موبایل مجاز نیست

زمان تکمیل این آزمون 34 دقیقه میباشد



تایید و ادامه
نام و نام خانوادگی خود را وارد نمایید *



تایید

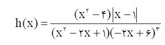
تعیین علامت کنید. 
دریافت سوال 6



تایید

دریافت سوال 4



تایید

دریافت سوال 12



تایید