زیرساخت پایدار برگزاری آزمون آنلاین
www.digiform.ir

آزمون اول شیمی دوازدهم کلاس ۱۲۳ به صورت دیجی فرم

زمان آزمون ۲۰ دقیقه می باشد

digiform

استفاده از اپلیکیشن ها و پیامرسان ها، پاسخ به تماس ها و استفاده از کلید های پایین موبایل مجاز نیست

زمان تکمیل این آزمون 20 دقیقه میباشد



تایید و ادامه
نام و نام خانوادگی خود را وارد نمایید *



تایید

شماره کلاس خود را وارد نمایید *



تایید

آیا عبارت زیر صحیح است ؟ چرا ؟ وازلین - اتیلن گلیکول و بنزین در هگزان محلول هستند



تایید

مقایسه پاک کنندگی صابونها در کدام گزینه صحیح انجام شده است ؟ ۱- صابون انزیم دار در دمای ۳۰ درجه با پارچه نخی ۲- صابون بدون انزیم در دمای ۳۰ درجه با پارچه پلی استر ۳-صابون آنزیم دار در دمای ۴۰ درجه با پارچه نخی ۴- صابون آنزیم دار در دمای ۴۰ درجه با پارچه پلی استر



تایید

جاهای خالی را با کلمات مناسب پر کنید. آ) صابون سنتنی را از ترکیب .................... و.............. و جوشاندن درون دیگهای بزرگ بدست می آورند. و این صابونها بعلت خاصیت ..............مناسب برای موهای..........هستند. ب ) برای افزایش قدرت پاک کنندگی صابون نمک ................. و برای افزایش خاصیت میکروب کشی ان ترکیبات .......... اضافه می کنند.



تایید

با توجه به شکل توضیح دهید برای باز کردن گرفتگی هر لوله از چه ماده یا موادی می توان استفاده کرد؟ دلیل بنویسید.
دریافت سوال 4



تایید

فرمول ساختاری صابون جامد بدست آمده از اسید چربی که در آن گروه آلکیل (R) دارای ۳۱ اتم هیدروژن باشد را بنویسید.



تایید

کدام نامگذاری برای ترکیب های زیر صحیح انجام شده است. HClO4 - Ca(HPO4) 2 - Mg(NO3)2 - Fe(SO3)2



تایید

جاهای خالی (آ تا چ) در جدول زیر را کامل کنید.
دریافت سوال 7



تایید

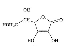
چه گروههای عاملی در ترکیب زیر مشاهده می کنید
دریافت سوال 8



تایید