زیرساخت پایدار برگزاری آزمون آنلاین
www.digiform.ir

آزمون ریاضی دوازدهم تجربی 1 به صورت دیجی فرم

آزمون در 10 سوال تستی و 35 دقیقه زمان است

digiform

استفاده از اپلیکیشن ها و پیامرسان ها، پاسخ به تماس ها و استفاده از کلید های پایین موبایل مجاز نیست

زمان تکمیل این آزمون 35 دقیقه میباشد



تایید و ادامه
نام و نام خانوادگی خود را وارد نمایید *



تایید

بیشترین مقدار تابع زیر در بازه
[2,2-]
کدام است؟ 
(0.5 نمره)
دریافت سوال 6



تایید

تابع
y=3x²_6x+9
در کدام بازه اکیدا صعودی است؟ 
(0.5 نمره)
دریافت سوال 1



تایید

تعداد نقاط بحرانی تابع با ضابطه زیر بر روی دامنه خود کدام است؟  (0.5 نمره)
دریافت سوال 2



تایید

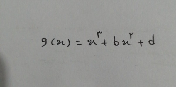
اگر نقطه(2،1)
نقطه اکسترمم نسبی تابع زیر باشد 
مقادیر b وd کدامند؟ 
(0.5 نمره)
دریافت سوال 10



تایید

تابع زیر چند اکسترمم نسبی دارد؟  (0.5 نمره)
دریافت سوال 4



تایید

برد تابع
y=x³_3x
در بازه[3, 1-]
کدام است؟ 
(0.5 نمره)
دریافت سوال 8



تایید

در تابع
y=x³_3x+1
مقدار ماکزیمم نسبی کدام است ؟
(0.5 نمره)



تایید

مقادیر ماکزیمم و مینیمم مطلق تابع با ضابطه زیر در بازه
[4,3-]
کدام است؟ 
(0.5 نمره)
دریافت سوال 7



تایید

چه تعداد از جملات زیر درست است؟
_اکسترمم های نسبی تابع نقاط بحرانی می باشند. 
_ نقاط بحرانی یا اکسترمم نسبی هستند یا مطلق. 
_ نقطه ماکسیمم مطلق دارای بیشترین طول می باشد. 
_ مشتق تابع در نقاط اکسترمم نسبی همیشه برابر صفر است. 
(0.5 نمره)



تایید

نمودار شکل زیر چند نقطه بحرانی دارد؟  (0.5 نمره)
دریافت سوال 3



تایید