زیرساخت پایدار برگزاری آزمون آنلاین
www.digiform.ir

آزمون شیمی 2 دبیرستان نمونه خیامی خرداد ماه به صورت دیجی فرم

با سلام  -  دانش آموزان عزیز با یاد خدا و توکل و آرامش متن  سوالات را به طور کامل بخوانید و سپس مناسب ترین پاسخ را انتخاب نمایید .  زمان خود را مدیریت کنید و حتما چند دقیقه قبل از اتمام زمان آزمون کلید خاتمه را بزنید . در پایان آزمون کد پیگیری خود را یادداشت نمایید . 

digiform

استفاده از اپلیکیشن ها و پیامرسان ها، پاسخ به تماس ها و استفاده از کلید های پایین موبایل مجاز نیست

زمان تکمیل این آزمون 80 دقیقه میباشد



تایید و ادامه
نام و نام خانوادگی خود را وارد نمایید *



تایید

ﺑﺎﺗﻮﺟﻪ ﺑﻪ ﺷﮑﻞ ﭼﻨﺪ ﻣﻮرد از ﻣﻄﺎﻟﺐ زﯾﺮ درﺳﺖ ﺑﯿﺎن ﺷﺪه اﻧﺪ؟

- مجموع انرژی جنبشی ذرات موجود در دو ظرف با هم برابر است . 

- میانگین تندی ظرف A  و ظرف B با هم برابر است .

- انرژی گرمایی آب موجود در ظرف B بیشتر است زیرا مولکول های آب در ظرف B بیشتر است . 

- ﻣﯿﺰان ﺳﺮدي و ﮔﺮﻣﯽ، ﻣﯿﺎﻧﮕﯿﻦ ﻣﯿﺰان ﺟﻨﺐ و ﺟﻮش و ﻣﯿﺎﻧﮕﯿﻦ اﻧﺮژي ﺟﻨﺒﺸﯽ ذره ﻫﺎي ﻣﻮﺟﻮد در دو ﻇﺮف ﺑﺎ ﻫﻢ ﺑﺮاﺑﺮ اﺳﺖ .  (1 نمره)
دریافت سوال 17



تایید

فرمول آلکانی به جرم مولی 170  ، دارای چند اتم هیدروژن است؟ (جرم مولی : C=12 , H=1 ) (1 نمره)



تایید

با توجه به شکل کدام گزینه برای کامل کردن جمله زیر مناسب است ؟ 
میانگین انرژی جنبشی آب موجود در  ظرف ................ و انرژی گرمایی آب ..............  است .  (1 نمره)
دریافت سوال 46



تایید

کدام مواد زیر جزو درشت مولکول ها هستند؟

آ(نشاسته                        ب(گلوکز              پ(پلی اتن                ت(اتن

ث(انسولین                     ج(نفتالن                د(سلولز (1 نمره)



تایید

ﺑﺎ ﺗﻮﺟﻪ ﺑﻪ ﻧﻤﻮدار ﺣﺠﻢ - زﻣﺎن زﯾﺮ ﮐﻪ ﻣﺮﺑﻮط ﺑﻪ واﮐﻨﺶ موازنه نشده  NO2------> NO+O2 (توضیح : اعداد نوشته شده بعد از نماد اتمی زیروند هستند) است . سرعت متوسط مصرف NO2 تا ثانیه 20 بر حسب مول بر دقیقه چند است ؟  (1 نمره)
دریافت سوال 20



تایید

در صورتی که سرعت تولید NO در واکنش گاز (موازنه نشده )  NOBr----->NO+Br2  (توضیح : اعداد نوشته شده بعد از نماد اتم ها زیروند است نه ضریب ) برابر 1/6 ضرب در 10 به توان 4- مول بر ثانیه باشد . سرعت واکنش و سرعت تولید Br2 بر حسب مول بر ثانیه به ترتیب چند است ؟ (گزینه ها به ترتیب از راست به چپ )

در گزینه ها نماد       ^    به معنای توان است به عنوان مثال  :     2 به توان 3 را به این صورت نمایش داده ایم       3^2
و علامت * به معنای ضرب است 
(1 نمره)



تایید

اگر میانگین آنتالپی پیوند C-H در مولکول متان برابر 412 کیلوژول بر مول باشد ، تغییر آنتالپی کدام یک از واکنش های زیر برابر 1648+ کیلوژول است ؟  (1 نمره)
دریافت سوال 23



تایید

اگر آنتالپی پیوند N-H برابر 390 کیلوژول بر مول باشد ، با توجه به اطلاعات معادله زیر آنتالپی پیوند N=N بر حسب کیلوژول بر مول کدام است ؟ 

(1 نمره)
دریافت سوال 26



تایید

به مقداری زنگ آهن، محلول هیدروکلریک اسید می افزاییم، ماده .............................. تولید می شود که در آب، ................... است؛ سپس به آن، قطره قطره محلول سدیم هیدروکسید می افزاییم، ماده ........................ تولید میشود که .................... است.(گزینه ها را به ترتیب از راست به چپ بخوانید )(توضیح : اعداد نوشته شده بعد از نماد اتمی زیروند هستند . ) (1 نمره)



تایید

درباره کربوکسیلیک اسیدها، کدام مورد نادرست است؟ (1 نمره)



تایید

گرما را می توان هم ارز با آن مقداری از ............................. دانست که به دلیل تفاوت در ......................... جاری می شود. (1 نمره)



تایید

ﮐﺪام ﮔﺰﯾﻨﻪ در ﻣﻮرد ﻓﺮاﯾﻨﺪي ﺑﺎ ﻧﻤﻮدار اﻧﺮژي زیر ﻧﺎدرﺳﺖ اﺳﺖ؟ (1 نمره)
دریافت سوال 18



تایید

 به دو ماده جامد A , B به مقدار مساوی گرما می دهیم ، اگر تغییرات دما A  و B  به ترتیب 3/8  و 4/5 درجه سانتی گراد باشد ، کدام نتیجه گیری زیر  درست است ؟ (دمای اولیه A, B یکسان هستند )     (1 نمره)



تایید

اﮔﺮ از ﻣﻮﻟﮑﻮل ﺳﯿﮑﻠﻮﻫﮕﺰان، ﺳﻪ ﻣﻮﻟﮑﻮل ﻫﯿﺪروژن ﺣﺬف ﺷﻮد، ﺑﻪ ﮐﺪام ﻫﯿﺪروﮐﺮﺑﻦ زیر تبدیل  ﻣﯽ ﺷﻮد؟ (1 نمره)



تایید

اگر در واکنش زیر پتاسیم کلرات با سرعت متوسط 1/25 مول بر ثانیه مصرف شود . بعد از گذشت 12 ثانیه چند گرم اکسیژن تولید می شود ؟ (جرم مولی : O=16) (1 نمره)
دریافت سوال 53



تایید

تغییر آنتالپی کدام واکنش منفی تر است ؟  (1 نمره)
دریافت سوال 48



تایید

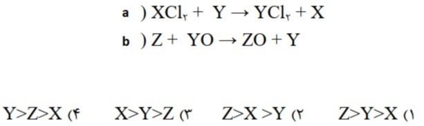
با توجه به اینکه واکنش های  زیر به طور خودبه خودی انجام می شوند؛ کدام مقایسه درباره واکنشپذیری سه عنصر x , y , z درست است؟ (1 نمره)
دریافت سوال 42



تایید

دانش آموزی نام یک آلکان را به اشتباه  ""   4- متیل 2- اتیل پنتان   "" نامگذاری کرده است . نام صحیح این آلکان طبق قواعد آیوپاک کدام است ؟  (1 نمره)



تایید

کدام مطلب در مورد استرها نادرست است؟ (1 نمره)



تایید

فرآورده حاصل از واکنش پلیمری شدن ترکیب CH3-CH=CH-CH3  کدام است ؟  (1 نمره)
دریافت سوال 32



تایید