زیرساخت پایدار برگزاری آزمون آنلاین
www.digiform.ir

آزمون نوبت دوم ریاضی دهم مقداد 102 به صورت دیجی فرم

digiform

استفاده از اپلیکیشن ها و پیامرسان ها، پاسخ به تماس ها و استفاده از کلید های پایین موبایل مجاز نیست

زمان تکمیل این آزمون 50 دقیقه میباشد

پس از پاسخ به هر سوال، امکان بازگشت و ویرایش پاسخ وجود ندارد



مرحله بعد
نام و نام خانوادگی خود را وارد نمایید *



تایید

(2 نمره)
دریافت سوال 3



تایید

(2 نمره)
دریافت سوال 7



تایید

مقدار x را در تساوی زیر بیابید (2 نمره)
دریافت سوال 1



تایید

کدام نمودار یک تابع را مشخص می کند؟ (2 نمره)
دریافت سوال 6



تایید

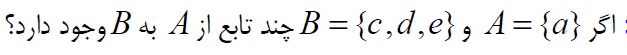
(2 نمره)
دریافت سوال 16



تایید

نمودار تابع f(x) در شکل زیر داده شده است نمودار f(x)+2 چگونه است؟ (2 نمره)
دریافت سوال 19



تایید

(2 نمره)
دریافت سوال 4



تایید

(2 نمره)
دریافت سوال 22



تایید

(2 نمره)
دریافت سوال 23



تایید

(2 نمره)
دریافت سوال 9



تایید