زیرساخت پایدار برگزاری آزمون آنلاین
www.digiform.ir

آزمون پایه نهم ریاضی فصل 4 و5 به صورت دیجی فرم

digiform

استفاده از اپلیکیشن ها و پیامرسان ها، پاسخ به تماس ها و استفاده از کلید های پایین موبایل مجاز نیست

زمان تکمیل این آزمون 70 دقیقه میباشد

پس از پاسخ به هر سوال، امکان بازگشت و ویرایش پاسخ وجود ندارد

در هنگام شروع آزمون دوربین فعال میشود



مرحله بعد
نام و نام خانوادگی خود را وارد نمایید *



تایید

شماره کلاس خود را وارد نمایید *



تایید

نام مدرسه خود را وارد نمایید *



تایید

(1.25 نمره)
دریافت سوال 1



تایید

(1 نمره)
دریافت سوال 2



تایید

(1.5 نمره)
دریافت سوال 3



تایید

(1.5 نمره)
دریافت سوال 4



تایید

(1.5 نمره)
دریافت سوال 5



تایید

(1 نمره)
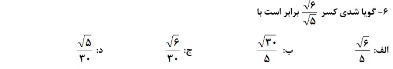
دریافت سوال 6



تایید

(1.25 نمره)
دریافت سوال 7



تایید

(1.25 نمره)
دریافت سوال 8



تایید

(1.5 نمره)
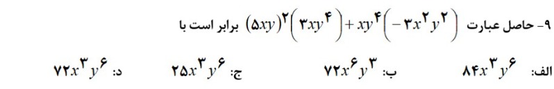
دریافت سوال 9



تایید

(2 نمره)
دریافت سوال 10



تایید

(1.25 نمره)
دریافت سوال 11



تایید

(1.25 نمره)
دریافت سوال 12



تایید

(1.25 نمره)
دریافت سوال 13



تایید

(1.25 نمره)
دریافت سوال 14



تایید

(1.25 نمره)
دریافت سوال 15



تایید