زیرساخت پایدار برگزاری آزمون آنلاین
www.digiform.ir

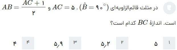
آزمون هندسه9 تکلیف 117 (فیثاغورث) به صورت دیجی فرم

به توان دو رشوندن رو لازمه نابلد نباشی برای این آزمون
اگه لازم داری قبل شروع آزمون یه نگاهی بنداز بهش

digiform

استفاده از اپلیکیشن ها و پیامرسان ها، پاسخ به تماس ها و استفاده از کلید های پایین موبایل مجاز نیست

زمان تکمیل این آزمون 5 دقیقه میباشد

پس از پاسخ به هر سوال، امکان بازگشت و ویرایش پاسخ وجود ندارد



تایید و ادامه
فقط نام: *



تایید

فقط نام خانوادگی: *



تایید

کدوم کلاسی؟ : *



تایید

دریافت سوال 2



تایید

دریافت سوال 23



تایید

دریافت سوال 45



تایید

دریافت سوال 34



تایید

دریافت سوال 40



تایید

دریافت سوال 12



تایید