زیرساخت پایدار برگزاری آزمون آنلاین
www.digiform.ir

آزمون آغازین پایه هشتم دبیرستان دولتی شهید آشناگر به صورت دیجی فرم

بسم الله الرحمن الرحیم

هر دانش‌آموز صرفا یکبار حق ورود به آزمون را دارد؛ پس توجه داشته باشید که پس از شروع آزمون، از صفحه آزمون خارج نشوید؛ زیرا مجددا به شما اجازه ورود به آزمون داده نخواهد شد. 


نمره آزمون آغازین صرفا تاثیر مثبت خواهد داشت، یعنی اگر میانگین شما را کاهش دهد لحاظ نخواد شد


گزارش موارد زیر حین آزمون برای بنده ثبت میشه:

 اسکرین شات گرفتن

 استفاده از نرم افزار دیگری حین آزمون (واتساپ، ماشین حساب و ...)

در کنار دیگری آزمون دادن


از الان تا 8 شب پنجشنبه فرصت دارید وارد صفحه آزمون شوید.


زمان آزمون: 60 دقیقه از لحظه ورود


تعداد سوالات: 10 سوال تستی

موفق باشید

کد پیگیری انتهای آزمون برای شماست و زمان اعلام نتایج در لینک جداگانه این کد استفاده خواهد شد، برای من کد را ارسال نکنید

قبل از پرسیدن سوال در شخصی، خوب توضیحات رو بخونید، کامل توضیح دادم

digiform

استفاده از اپلیکیشن ها و پیامرسان ها، پاسخ به تماس ها و استفاده از کلید های پایین موبایل مجاز نیست

زمان تکمیل این آزمون 60 دقیقه میباشد

پس از پاسخ به هر سوال، امکان بازگشت و ویرایش پاسخ وجود ندارد



مرحله بعد
نام و نام خانوادگی و نام پدر خود را وارد نمایید
(به طور مثال: فاطمه دهقان فرزند علی) *



تایید

جمع هر عدد با ........ مساوی صفر است. (2 نمره)



تایید

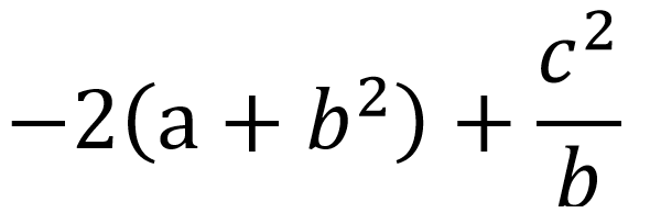
مقدار عددی عبارت‌های زیر به ازای a=6 و b=-2 و c=-4 به‌دست آورید. (2 نمره)
دریافت سوال 5



تایید

تاسی را می‌اندازیم؛ احتمال اینکه شش بیاید را بیابید. (2 نمره)
دریافت سوال 8



تایید

ب،م،م و ک،م،م دو عدد 7 و 8 در کدام گزینه آمده است؟ (2 نمره)
دریافت سوال 9



تایید

(2 نمره)
دریافت سوال 6



تایید

نمودار ........ برای نمایش تغییرها کاربرد دارد. (2 نمره)



تایید

حاصل معادله زیر در کدام گزینه است؟ (2 نمره)
دریافت سوال 4



تایید

حاصل عبارات زیر را به صورت توان‌دار به دست آورید (2 نمره)
دریافت سوال 3



تایید

در چندضلعی محدب، هر زاویه‌ها از ......... درجه، کوچکتراند (2 نمره)



تایید

حاصل عبارت زیر را به دست آورید. =15+12- (2 نمره)



تایید