زیرساخت پایدار برگزاری آزمون آنلاین
www.digiform.ir

آزمون ریاضی هشتم فصل اول 1400 به صورت دیجی فرم

به نام خداوند جان و خرد. دانش آموزان عزیز خانم جدیدی هستم .لطفا پس از رویت سوال پاسخ را در دفتر خود به صورت کاملا تمیز و  مرتب نوشته و در آخر عکس تمامی پاسخ ها را  به صورت شفاف و واضح ارسال نمایید. عزیزان دقت بفرمایید راه حل ها کامل باشد و چگونگی رسیدن به جواب نوشته شده باشد.سپاسگزارم . موفق باشید.

digiform

استفاده از اپلیکیشن ها و پیامرسان ها، پاسخ به تماس ها و استفاده از کلید های پایین موبایل مجاز نیست

زمان تکمیل این آزمون 60 دقیقه میباشد



تایید و ادامه
نام و نام خانوادگی خود را وارد نمایید *



تایید

شماره کلاس خود را وارد نمایید *



تایید

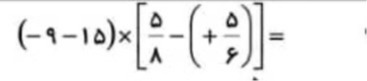
حاصل عبارت روبرو را بدست آورید. (1 نمره)
دریافت سوال 1



تایید

(1 نمره)
دریافت سوال 4



تایید

حاصل عبارت زیر را محاسبه کنید.

(1 نمره)
دریافت سوال 22



تایید

حاصل عبارت را بیابید. (1 نمره)
دریافت سوال 7



تایید

حاصل عبارت زیر را محاسبه کنید. (1 نمره)
دریافت سوال 23



تایید

نقطه نشان داده شده روی محور چه عددی را نشان می دهد؟ (1 نمره)
دریافت سوال 10



تایید

(1 نمره)
دریافت سوال 15



تایید

حاصل عبارت زیر را محاسبه کنید. (1 نمره)
دریافت سوال 16



تایید

حاصل عبارت زیر را بنویسید. (1 نمره)
دریافت سوال 3



تایید

حاصل عبارت مقابل را بیابید. (1 نمره)
دریافت سوال 12



تایید

جمع متناظر با بردار زیر کدام است ؟

(1 نمره)
دریافت سوال 17



تایید

حاصل عبارت را محاسبه کنید. (1 نمره)
دریافت سوال 13



تایید

(1 نمره)
دریافت سوال 5



تایید

کدام کسر بین دو کسر یک دوم و یک سوم نیست؟ (1 نمره)
دریافت سوال 11



تایید