زیرساخت پایدار برگزاری آزمون آنلاین
www.digiform.ir

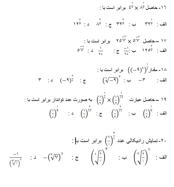
آزمون ریاضی 1 پودمان چهار به صورت دیجی فرم

ریاضی 1 پودمان چهار

digiform

استفاده از اپلیکیشن ها و پیامرسان ها، پاسخ به تماس ها و استفاده از کلید های پایین موبایل مجاز نیست

زمان تکمیل این آزمون 25 دقیقه میباشد

پس از پاسخ به هر سوال، امکان بازگشت و ویرایش پاسخ وجود ندارد



تایید و ادامه
نام و نام خانوادگی خود را وارد نمایید *



تایید

دریافت سوال 5



تایید

هر عدد مثبت دارای دو ریشه ی زوج است . الف : درست ب : نادرست



تایید

هر عدد دارای دو ریشه ی فرد است؟ الف : درست ب : نادرست



تایید

دریافت سوال 4



تایید

دریافت سوال 6



تایید

دریافت سوال 3



تایید

دریافت سوال 7



تایید