زیرساخت پایدار برگزاری آزمون آنلاین
www.digiform.ir

آزمون ریاضی هشتم فصل پنجم و ششم (بردار و مختصات و مثلث) به صورت دیجی فرم

به آزمون ریاضی فصل 5و 6 ریاضیات پایه هشتم (جبر و معادله ) خوش آمدید🌷🌷🌷

digiform

استفاده از اپلیکیشن ها و پیامرسان ها، پاسخ به تماس ها و استفاده از کلید های پایین موبایل مجاز نیست

زمان تکمیل این آزمون 50 دقیقه میباشد



تایید و ادامه
نام و نام خانوادگی خود را وارد نمایید *



تایید

نام مدرسه خود را وارد نمایید *



تایید

شماره کلاس خود را وارد نمایید *



تایید

نام معلم خود را وارد نمایید *



تایید

کدام گزینه جزو تبدیلات هندسی هست؟ (1 نمره)



تایید

به سوال موجود در شکل زیر پاسخ دهید 👇👇👇 (1 نمره)
دریافت سوال 10



تایید

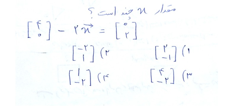
به سوال موجود در شکل زیر پاسخ دهید. 👇👇👇 (1 نمره)
دریافت سوال 3



تایید

وتر مثلث قائم الزاویه ای به اضلاع قائم 5و12 کدام است؟ (1 نمره)



تایید

به سوال موجود در شکل زیر پاسخ دهید. (1 نمره)
دریافت سوال 16



تایید

به سوال خواسته شده زیر  پاسخ دهید .👇👇👇 (1 نمره)
دریافت سوال 4



تایید

به سوال موجود در شکل زیر پاسخ دهید. (1 نمره)
دریافت سوال 18



تایید

در شکل زیر مثلث HIG حاصل دوران 90درجه EFGحول نقطه G است،  مقدار x چند است؟ (1 نمره)
دریافت سوال 14



تایید

علی با قسمتی از دایره ای به شعاع 10سانتی متر ، مخروطی به قطر قاعده 
12سانتی متر ساخته است . ارتفاع این مخروط چقدر است؟
(1 نمره)



تایید

(1 نمره)
دریافت سوال 20



تایید

کدام گزینه جزو حالات همنهشتی مثلثات نیست؟ (1 نمره)



تایید

در مثلث  قائم الزاویه ای با وتر 10 متر و یکی از اضلاع قائم 8 متر مساحت مثلث چقدر است؟ (1 نمره)



تایید

به سوال موجود در شکل زیر پاسخ دهید:👇👇👇  (1 نمره)
دریافت سوال 5



تایید

در تساوی مختصاتی   زیر مقدار x+y چقدر است؟ (1 نمره)
دریافت سوال 1



تایید

دو بردار را مساوی گویند هر گاه.....................  باشند.  (1 نمره)



تایید

به سوال موجود در شکل زیر پاسخ دهید. (1 نمره)
دریافت سوال 17



تایید

(1 نمره)
دریافت سوال 19



تایید

مساحت مثلث ABCموجود در شکل زیر را بیابید.👇👇👇
(پاره خط های علامت زده شده برابرند.)
(1 نمره)
دریافت سوال 12



تایید

به سوال زیر پاسخ دهید👇👇👇 (1 نمره)
دریافت سوال 7



تایید

در شکل زیراندازه قطر مربع چند است؟ (1 نمره)
دریافت سوال 13



تایید