زیرساخت پایدار برگزاری آزمون آنلاین
www.digiform.ir

آزمون شماره یک مثلثات به صورت دیجی فرم

به نام خدا با دقت به 14 سوال آزمون پاسخ دهید.

digiform

استفاده از اپلیکیشن ها و پیامرسان ها، پاسخ به تماس ها و استفاده از کلید های پایین موبایل مجاز نیست

زمان تکمیل این آزمون 35 دقیقه میباشد



تایید و ادامه
نام و نام خانوادگی(از نوشتن نام مستعار،لقب،نام به انگلیسی و ... خودداری شود) *



تایید

9.
دریافت سوال 9



تایید

11.
دریافت سوال 11



تایید

12.
دریافت سوال 12



تایید

8.
دریافت سوال 8



تایید

6.
دریافت سوال 6



تایید

4.
دریافت سوال 4



تایید

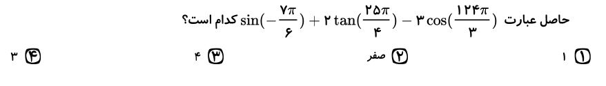
1.
دریافت سوال 1



تایید

14.
دریافت سوال 14



تایید

13.
دریافت سوال 13



تایید

5.
دریافت سوال 5



تایید

10.
دریافت سوال 10



تایید

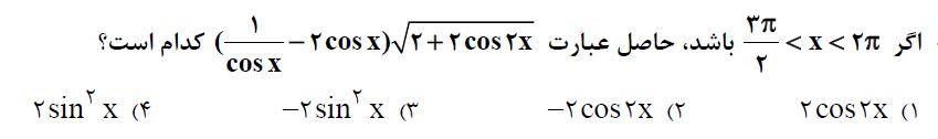
3.
دریافت سوال 3



تایید

2.
دریافت سوال 2



تایید

7.
دریافت سوال 7



تایید