زیرساخت پایدار برگزاری آزمون آنلاین
www.digiform.ir

آزمون ریاضی دهم تجربی به صورت دیجی فرم

در پایان آزمون پس از خروج از سایت، لطفا از پاسخنامه خود عکس گرفته و در واتساپ برای من بفرستید.

digiform

استفاده از اپلیکیشن ها و پیامرسان ها، پاسخ به تماس ها و استفاده از کلید های پایین موبایل مجاز نیست

زمان تکمیل این آزمون 75 دقیقه میباشد

در هنگام شروع آزمون دوربین فعال میشود



تایید دوربین
نام و نام خانوادگی خود را وارد نمایید: *



تایید

1) اگر n(A)=12 و n(B)=8 و n(A∩B)=3 باشد، (n(A∪B)، n(B-A و (n(A-B را بدست آورید.(1/5 نمره)



تایید

2) جمله چهارم یک دنباله هندسی 12 و جمله هفتم آن 96 است، جمله اول و قدرنسبت را بدست آورید.(1/5 نمره)



تایید

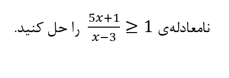
3) (2 نمره)
دریافت سوال 3



تایید

4) عبارت های زیر را تجزیه کنید.(2 نمره)
دریافت سوال 4



تایید

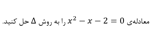
5) (1 نمره)
دریافت سوال 5



تایید

6) (2 نمره)
دریافت سوال 6



تایید

7) فرض کنید f تابعی خطی است که در آن f(2)=-4 و f(5)=5، نمایش جبری آن را بنویسید و نمودار آن را در دستگاه مختصات رسم کنید.(1/5 نمره)



تایید

8) نمودار تابع زیر را به کمک انتقال رسم کنید و دامنه و برد آن را بدست آورید.(2 نمره)
دریافت سوال 8



تایید

9) با ارقام 6,5,4,3,1 بدون تکرار ارقام :(2 نمره) الف) چند عدد چهاررقمی می‎‌توان نوشت؟ ب) چند عدد سه رقمی زوج می‎‌توان نوشت؟



تایید

10) هشت نقطه روی محیط یک دایره قرار دارد، چند مثلث مختلف ‌می‌توان کشید که رئوس آن از این هشت نقطه انتخاب شده باشد.(1 نمره)



تایید

11) جعبه‌ای محتوی 6 مهره قرمز، 4 مهره آبی می‌باشد، 3 مهره به تصادف از این جعبه انتخاب می‌کنیم، احتمال اینکه 2 مهره قرمز و 1 مهره آبی باشد چقدر است؟(2 نمره)



تایید

12) نوع متغیرهای زیر را به طور کامل مشخص کنید:(1/5 نمره) الف) مدت زمانی که طول میکشد از خانه به مدرسه برسید. ب) گروه خونی ج) میزان تحصیلات افراد



تایید