زیرساخت پایدار برگزاری آزمون آنلاین
www.digiform.ir

آزمون ریاضی2 انسانی فصل2 - ابن سینا به صورت دیجی فرم

آزمون ریاضی 2 انسانی- فصل 2 
شروع راس ساعت 13
پایان ساعت 13/50
نام و نام خانوادگی خود را وارد کنید 
کد ملی خود را وارد کنید
بعد از ورود به صفحه آزمون تا پایان آزمون از آن خارج نشوید ( در خروج و ورود دوباره سیستم نمره را ثبت نمیکند  )
برای هر سئوال یک گزینه را به عنوان جواب درست تیک بزنید 
سیستم به صورت هوشمند عمل میکند و همه فاکتور های نظارتی فعال خواهند شد و  هر گونه ارتباط تصویری و صوتی و نوشتاری و  چت و اس ام اس و ... برای هر دو طرف ارسال کننده و دریافت کننده نمره ثبت نمیگردد.
سئوالات تصادفی انتخاب میشوند و بعد جواب دادن و رفتن به سئوال بعدی امکان برگشت به سئوال قبل وجود ندارد
 
تعداد سئوال10 و  مدت آزمون 50   دقیقه است 

زمان را مدیریت کنید و قبل از اتمام گزینه پایان را بزنید تا نمره شما ثبت گردد 

موفق باشید 

digiform

استفاده از اپلیکیشن ها و پیامرسان ها، پاسخ به تماس ها و استفاده از کلید های پایین موبایل مجاز نیست

زمان تکمیل این آزمون 50 دقیقه میباشد

پس از پاسخ به هر سوال، امکان بازگشت و ویرایش پاسخ وجود ندارد



تایید و ادامه
نام و نام خانوادگی خود را وارد نمایید *



تایید

کد ملی خود را وارد نمایید *



تایید

(2 نمره)
دریافت سوال 6



تایید

(2 نمره)
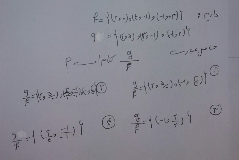
دریافت سوال 2



تایید

(2 نمره)
دریافت سوال 3



تایید

(2 نمره)
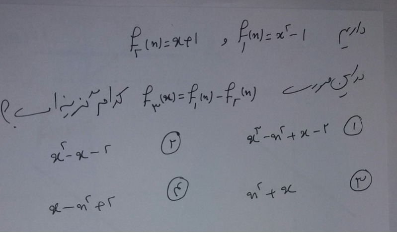
دریافت سوال 4



تایید

(2 نمره)
دریافت سوال 5



تایید

(2 نمره)
دریافت سوال 7



تایید

(2 نمره)
دریافت سوال 9



تایید

(2 نمره)
دریافت سوال 8



تایید

(2 نمره)
دریافت سوال 1



تایید

(2 نمره)
دریافت سوال 10



تایید