زیرساخت پایدار برگزاری آزمون آنلاین
www.digiform.ir

آزمون بسمه تعالی امتحان ریاضی وآمار 2اسفند ماه به صورت دیجی فرم

با نام خدا شروع کنید.

digiform

استفاده از اپلیکیشن ها و پیامرسان ها، پاسخ به تماس ها و استفاده از کلید های پایین موبایل مجاز نیست

زمان تکمیل این آزمون 60 دقیقه میباشد

در هنگام شروع آزمون دوربین فعال میشود



تایید دوربین
نام و نام خانوادگی خود را وارد نمایید *



تایید

کد ملی خود را وارد نمایید *



تایید

(2 نمره)
دریافت سوال 1



تایید

(1 نمره)
دریافت سوال 2



تایید

(2 نمره)
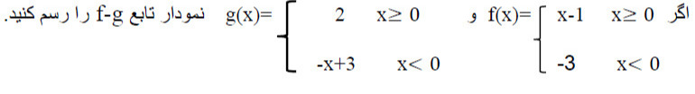
دریافت سوال 3



تایید

(3 نمره)
دریافت سوال 4



تایید

(3 نمره)
دریافت سوال 5



تایید

(1.5 نمره)
دریافت سوال 6



تایید

(2 نمره)
دریافت سوال 7



تایید

(3 نمره)
دریافت سوال 8



تایید

(2.5 نمره)
دریافت سوال 9



تایید