زیرساخت پایدار برگزاری آزمون آنلاین
www.digiform.ir

آزمون میانترم ریاضی به صورت دیجی فرم

digiform

استفاده از اپلیکیشن ها و پیامرسان ها، پاسخ به تماس ها و استفاده از کلید های پایین موبایل مجاز نیست

زمان تکمیل این آزمون 30 دقیقه میباشد



مرحله بعد
نام و نام خانوادگی خود را وارد نمایید *



تایید

شماره دانشجویی خود را وارد نمایید *



تایید

🌴 (1 نمره)
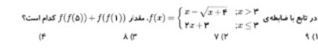
دریافت سوال 8



تایید

🌸 (1 نمره)
دریافت سوال 2



تایید