زیرساخت پایدار برگزاری آزمون آنلاین
www.digiform.ir

آزمون آغازین درس ریاضی پایه نهم(حاج کاظم محمدنیا) به صورت دیجی فرم

لطفا مشخصات خواسته شده را با دقت وارد نمایید. هر دانش آموز فقط یکبار می تواند در آزمون شرکت کند. سوالات بصورت تصادفی نمایش داده می شوند. سوالات یکبار نمایش داده می شوند ، توجه کنید پس از نمایش هر سوال جواب آن را علامت بزنید (امکان بازگشت به سوالات قبلی وجود ندارد). ارزش هر سوال ، یک نمره است. آزمون 20 نمره ای می باشد. حتما در انتهای آزمون گزینه ثبت نهایی را بزنید.

digiform

استفاده از اپلیکیشن ها و پیامرسان ها، پاسخ به تماس ها و استفاده از کلید های پایین موبایل مجاز نیست

زمان تکمیل این آزمون 30 دقیقه میباشد

پس از پاسخ به هر سوال، امکان بازگشت و ویرایش پاسخ وجود ندارد



تایید و ادامه
نام و نام خانوادگی خود را وارد نمایید *



تایید

کدام عبارت نادرست است؟ الف) هر نقطه روی عمودمنصف یک پاره خط ، از دو سر آن پاره خط ، به یک فاصله است. ب)هر نقطه روی نیمساز یک زاویه ، از دو ضلع زاویه به یک فاصله است. ج) دو مثلث با یکدیگر هم نهشت اند ؛ پس فقط اضلاع متناظر آنها با هم مساوی هستند. د) فاصله دو نقطه از هم برابر طول پاره خطی است که آن نقاط را به هم وصل کند.



تایید

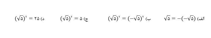
کدامیک از تساوی ها نادرست است؟
دریافت سوال 15



تایید

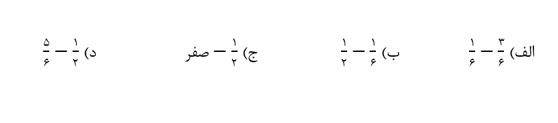
حاصل عبارت زیر ، کدام گزینه است؟
دریافت سوال 1



تایید

اندازه هر یک از زاویه های یک چهارضلعی منتظم ، چند درجه است؟ الف) 900 ب) 450 ج) 90 د) 45



تایید

با توجه به شکل زیر ، طول مستطیل برابر چه مقداری است؟
دریافت سوال 19



تایید

جواب معادله زیر ، برابر با چه عددی است؟
دریافت سوال 7



تایید

بیست و هفت برابر عدد زیر ، برابر کدام گزینه است؟
دریافت سوال 13



تایید

با توجه به شکل ، y برابر با کدام گزینه است؟
دریافت سوال 9



تایید

مختصات بردار a کدام است؟
دریافت سوال 10



تایید

مقدار x ، کدام است؟
دریافت سوال 5



تایید

کدام نمودار ، برای مقایسه داده های تقریبی بکار می رود؟ الف) نمودار ستونی ب) نمودار خط شکسته ج) نمودار تصویری د) نمودار دایره ای



تایید

عقربه ی چرخنده ی زیر را می چرخانیم. احتمال اینکه روی سبز بایستد ، چقدر است؟
دریافت سوال 20



تایید

تاسی را می اندازیم. احتمال اینکه عدد رو شده زوج باشد ، ............. و احتمال اینکه عدد رو شده نه اول باشد و نه مرکب ، .......... است.
دریافت سوال 18



تایید

محیط مثلث ABC برابر با چه عددی است؟
دریافت سوال 11



تایید

مقدار عددی عبارت زیر ، به ازای مقادیر داده شده ، چند است؟
دریافت سوال 16



تایید

حاصل عبارت زیر ، کدام است؟
دریافت سوال 14



تایید

حاصل جمع سه عدد طبیعی متوالی 27 شده است. بزرگترین عدد کدام است؟ الف) 9 ب) 8 ج) 10 د) 13



تایید

کدام جفت عدد ، نسبت به هم اول اند؟ الف) (7 و 8) ب) (3 و 3) ج) (9 و 3) د) (50 و 25)



تایید

کدام عبارت درست است؟
دریافت سوال 2



تایید

اگر نتیجه ................ درجه ای یک شکل حول یک نقطه روی آن منطبق شود ، می گوییم شکل مرکز تقارن دارد و نقطه مورد نظر ، مرکز تقارن شکل است. الف) دوران - 180 ب) دوران - 360 ج) تقارن - 180 د) تقارن - 360



تایید