زیرساخت پایدار برگزاری آزمون آنلاین
www.digiform.ir

آزمون امتحان فصل 4ریاضی 3 به صورت دیجی فرم

دانش آموزان عزیز جواب هر سوال را همراه با عنوان آن سوال روی برگه بنویسید و به پی وی من در شاد و در زمان مشخص شده ارسال کنید.

digiform

استفاده از اپلیکیشن ها و پیامرسان ها، پاسخ به تماس ها و استفاده از کلید های پایین موبایل مجاز نیست

زمان تکمیل این آزمون 45 دقیقه میباشد

در هنگام شروع آزمون دوربین فعال میشود



تایید دوربین
نام و نام خانوادگی خود را وارد نمایید *



تایید

مشتقپذیری۲ (2 نمره)
دریافت سوال 6



تایید

مماس (2 نمره)
دریافت سوال 4



تایید

اگر 5=(3)'f  و 3=(2)g و ۵=(۲)'g و 0=(2)'f و 2-=(2)f آنگاه مطلوبست 

 = (2)'(fog)

=(2)'(f.g) (2 نمره)



تایید

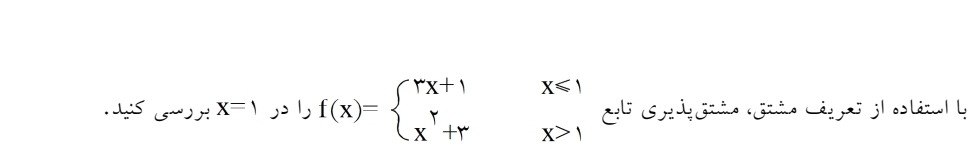
مشتق پذیری۱ (2 نمره)
دریافت سوال 5



تایید

تابع مشتق۲ (2 نمره)
دریافت سوال 8



تایید

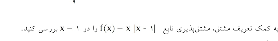
تعریف مشتق  (2 نمره)
دریافت سوال 3



تایید

محاسبه ی مشتق (3 نمره)
دریافت سوال 9



تایید

مفهوم مشتق ۱

(1.5 نمره)
دریافت سوال 1



تایید

تابع مشتق۱ (2 نمره)
دریافت سوال 7



تایید

مفهوم مشتق ۲ (1.5 نمره)
دریافت سوال 2



تایید