زیرساخت پایدار برگزاری آزمون آنلاین
www.digiform.ir

آزمون کویز 101 - درس ریاضی (3) - هنرستان دکتر فکری بستک به صورت دیجی فرم

قبل از ورود به امتحان به موارد زیر دقت کنید: جواب سوالات حل کردنی را بطور کامل و واضح در یک برگه بنویسید و به واتساپ من بفرستید. زمان آزمون : 30 دقیقه

digiform

استفاده از اپلیکیشن ها و پیامرسان ها، پاسخ به تماس ها و استفاده از کلید های پایین موبایل مجاز نیست

زمان تکمیل این آزمون 30 دقیقه میباشد



تایید و ادامه
رشته تحصیلی خود را وارد نمایید *



تایید

نام و نام خانوادگی خود را وارد کنید. *



تایید

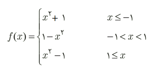
در تابع زیر مطلوب است: الف) دامنه تابع ب) محاسبه مقادیر f(3) f(1) f(-2) ج) رسم تابع
دریافت سوال 1



تایید

نمودار تابع f(x)=cos(x) با کدامیک از نمودارهای زیر مشابه است؟



تایید

با استفاده از نمودار تابع f(x)=cos(x) نمدار تابع f(x)=2cos(x)-1 را رسم کنید.



تایید