زیرساخت پایدار برگزاری آزمون آنلاین
www.digiform.ir

آزمون ریاضی یازدهم تجربی دستوا به صورت دیجی فرم

لطفا با خط خوش و خوانا سوال و جواب را نوشته و در شخصی شاد ارسال کنید.

digiform

استفاده از اپلیکیشن ها و پیامرسان ها، پاسخ به تماس ها و استفاده از کلید های پایین موبایل مجاز نیست

زمان تکمیل این آزمون 120 دقیقه میباشد



مرحله بعد
نام و نام خانوادگی خود را وارد نمایید *



تایید

برای داده های زیر واریانس و ضریب تغییرات را محاسبه کنید.
۱۵،۸،۹،۱۲،۱۴،۴،۱
(2 نمره)



تایید

(2 نمره)
دریافت سوال 17



تایید

در داده های زیر میانگین و میانه را بدست آورید.
۱۲،۱۰،۱۵،۲۳،۱۴،۲۷،۱۶۳۴،۴۳،۴۱،۳۲،۱۸،۲۵،۳۱،۱۹
(2 نمره)



تایید

(2 نمره)
دریافت سوال 14



تایید

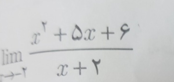
حاصل حد زیر را بدست آورید. (2 نمره)
دریافت سوال 16



تایید

فاصله نقطه A(۷،۵) را از خط به معادله
۴x=-۳x+۱۸ بدست آورید.
(2 نمره)



تایید

اگرlog۲=۰.۲ وlog۳=۰.۴ حاصل log.۰.۷۵ را بدست آورید. (2 نمره)



تایید

(2 نمره)
دریافت سوال 15



تایید

وارون تابع با ضابطه زیر را بدست آورید.

                                                        f(x)=-2x+3
(2 نمره)



تایید

حاصل عبارت زیر  را بدست آورید. (2 نمره)
دریافت سوال 9



تایید