زیرساخت پایدار برگزاری آزمون آنلاین
www.digiform.ir

آزمون امتحان سالانه ، مضمون ریاضی ، صنف هفتم لیسه اتحاد به صورت دیجی فرم

پیروزی در اتحاد است

digiform

استفاده از اپلیکیشن ها و پیامرسان ها، پاسخ به تماس ها و استفاده از کلید های پایین موبایل مجاز نیست

زمان تکمیل این آزمون 45 دقیقه میباشد



تایید و ادامه
نام و تخلص خود را وارد نمایید *



تایید

نام پدر خود را وارد نمایید *



تایید

*



تایید

(6 نمره)
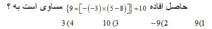
دریافت سوال 8



تایید

(6 نمره)
دریافت سوال 17



تایید

(6 نمره)
دریافت سوال 7



تایید

(6 نمره)
دریافت سوال 28



تایید

(6 نمره)
دریافت سوال 30



تایید

(6 نمره)
دریافت سوال 16



تایید

(6 نمره)
دریافت سوال 29



تایید

(6 نمره)
دریافت سوال 3



تایید

(6 نمره)
دریافت سوال 22



تایید

(6 نمره)
دریافت سوال 26



تایید