زیرساخت پایدار برگزاری آزمون آنلاین
www.digiform.ir

آزمون فصل اول ریاضی پایه هشتم به صورت دیجی فرم

توجه توجه تذکر مهم: هر دانش اموز فقط یک بار میتواند وارد آزمون شود پس به هیچ وجه بعد از شروع آزمون از صفحه آزمون خارج نشوید.چون تقلب محسوب می شود . ازمون نمره منفی ندارد. نتایج از طریق بات برای من ارسال می شود پس نیازی به عکس گرفتن از صفحه آزمون نیست.

digiform

استفاده از اپلیکیشن ها و پیامرسان ها، پاسخ به تماس ها و استفاده از کلید های پایین موبایل مجاز نیست

زمان تکمیل این آزمون 90 دقیقه میباشد



تایید و ادامه
نام و نام خانوادگی دانش آموز: *



تایید

شماره کلاس: (مثلا ۸۰۱) *



تایید

معکوس عبارت زیر را به دست آورید.
دریافت سوال 1



تایید

حاصل عبارت زیر را با رعایت ترتیب عملیاتی بدست آورید و جواب را تا حد امکان ساده کنید.
دریافت سوال 2



تایید

باتوجه به روش به دست آوردن چند کسر بین دو عدد کسری به سوال زیر پاسخ دهید.
دریافت سوال 3



تایید

حاصل عبارت زیر کدام گزینه می باشد؟
دریافت سوال 4



تایید

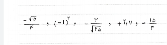
در بین اعداد زیر چند عدد صحیح وجود دارد؟
دریافت سوال 5



تایید

حاصل عبارت مقابل را به دست آورید. ۱+۲+۳+۴+۰۰۰+۲۰۰



تایید

کوچکترین عدد صحیح منفی سه رقمی کدام است؟



تایید

جاهای خالی را با عبارات مناسب کامل کنید.( گزینه ها از راست به چپ درست هستند) حاصل ضرب هر عدد در معکوسش ...‌‌.می باشد و هر عدد صحیح یک عدد .....‌ است و عدد ....... تنها عددیست که معکوس ندارد.



تایید

حاصل عبارت زیر در کدام گزینه آمده است؟
دریافت سوال 9



تایید

حاصل تقسیم را بدست آورید.
دریافت سوال 10



تایید