زیرساخت پایدار برگزاری آزمون آنلاین
www.digiform.ir

آزمون ریاضی به صورت دیجی فرم

آزمون ریاضیات پایه

digiform

استفاده از اپلیکیشن ها و پیامرسان ها، پاسخ به تماس ها و استفاده از کلید های پایین موبایل مجاز نیست

زمان تکمیل این آزمون 40 دقیقه میباشد

پس از پاسخ به هر سوال، امکان بازگشت و ویرایش پاسخ وجود ندارد



تایید و ادامه
نام و نام خانوادگی خود را وارد نمایید *



تایید

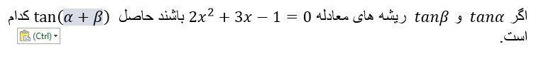
دریافت سوال 9



تایید

دریافت سوال 10



تایید

دریافت سوال 6



تایید

دریافت سوال 8



تایید

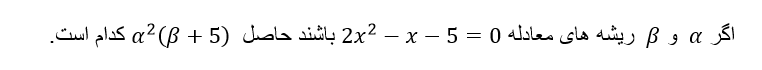
دریافت سوال 4



تایید

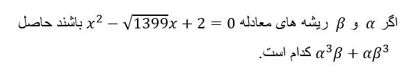
دریافت سوال 1



تایید

دریافت سوال 7



تایید

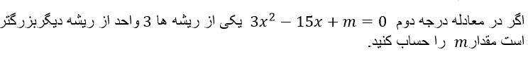
دریافت سوال 2



تایید

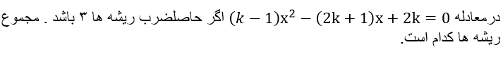
دریافت سوال 3



تایید

دریافت سوال 5



تایید