زیرساخت پایدار برگزاری آزمون آنلاین
www.digiform.ir

آزمون فصل اول ریاضی هشتم به صورت دیجی فرم

با صبر و حوصله آزمون را پاسخ دهید. با آرزوی موفقیت

digiform

استفاده از اپلیکیشن ها و پیامرسان ها، پاسخ به تماس ها و استفاده از کلید های پایین موبایل مجاز نیست

زمان تکمیل این آزمون 20 دقیقه میباشد



تایید و ادامه
نام و نام خانوادگی خود را وارد نمایید *



تایید

نام کلاس خود را وارد نمایید *



تایید

شماره موبایل خود را وارد نمایید *



تایید

قرینه ی 8- برابر است با



تایید

قرینه عدد زیر کدام است؟
دریافت سوال 2



تایید

معکوس عدد زیر کدام است؟
دریافت سوال 3



تایید

بزرگترین عدد صحیح منفی کدام است؟



تایید

کوچکترین عدد فرد طبیعی دو رقمی کدام است؟



تایید

عدد گویا عددی است :



تایید

برای محور زیر یک جمع بنویسید.
دریافت سوال 7



تایید

برای محور زیر یک جمع بنویسید.
دریافت سوال 8



تایید

کوچکترین مخرج مناسب برای عبارت مقابل چند است؟
دریافت سوال 9



تایید

حاصل عبارت زیر را بیابید.
دریافت سوال 10



تایید

حاصل عبارت زیر را بیابید.
دریافت سوال 11



تایید

تنها عددی که معکوس ندارد؟



تایید

چه اعدادی با معکوس خود برابرند؟



تایید

حاصل عبارت زیر را به دست آورید
دریافت سوال 14



تایید

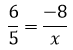
مقدار x را بیابید؟
دریافت سوال 15



تایید

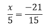
مقدار x را بیابید؟
دریافت سوال 16



تایید

عقربه چه عددی را نمایش می دهد؟
دریافت سوال 17



تایید

عقربه چه عددی را نمایش می دهد؟
دریافت سوال 18



تایید

حاصل عبارت زیر را بیابید
دریافت سوال 19



تایید

در مورد عدد زیر کدام عبارت درست است؟
دریافت سوال 20



تایید