زیرساخت پایدار برگزاری آزمون آنلاین
www.digiform.ir

آزمون نوبت دوم حسابان 1 به صورت دیجی فرم

با سلام و وقت به خیر به سوالات زیر با دقت هرچه تمام پاسخ دهید(امکان برگشت به سوال قبل را پس از زدن کلید بعدی ندارید.در حین آزمون مدیریت زمان داشته باشید)

digiform

استفاده از اپلیکیشن ها و پیامرسان ها، پاسخ به تماس ها و استفاده از کلید های پایین موبایل مجاز نیست

زمان تکمیل این آزمون 60 دقیقه میباشد

پس از پاسخ به هر سوال، امکان بازگشت و ویرایش پاسخ وجود ندارد



مرحله بعد
نام و نام خانوادگی خود را وارد نمایید *



تایید

(1 نمره)
دریافت سوال 17



تایید

(2 نمره)
دریافت سوال 5



تایید

حاصل عبارت زیر را بیابید. (2 نمره)
دریافت سوال 10



تایید

(2 نمره)
دریافت سوال 1



تایید

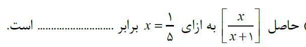
حاصل عبارت زیر را بیابید. (2 نمره)
دریافت سوال 9



تایید

(2 نمره)
دریافت سوال 3



تایید

در تساوی زیر مقدار x را بیابید. (2 نمره)
دریافت سوال 8



تایید

حاصل عبارت زیر را بیابید. (2 نمره)
دریافت سوال 14



تایید

در معادله زیر مقدار x را بیابید. (2 نمره)
دریافت سوال 12



تایید

(2 نمره)
دریافت سوال 6



تایید