زیرساخت پایدار برگزاری آزمون آنلاین
www.digiform.ir

آزمون تکرار امتحان پودمان 5 درس ریاضی 3 - هنرستان دکتر فکری بستک به صورت دیجی فرم

*** سوالات نکته دار است لطفا با دقت به آنها جواب دهید ***
هیچ سوالی را بی جواب نگذارید. جواب اشتباه نمره منفی ندارد.
امکان برگشت به سوال قبل وجود ندارد. پس دقت کافی داشته باشید.
فقط یکبار می توانید امتحان بدهید.
تعداد سوالات: 10
زمان : 45 دقیقه

digiform

استفاده از اپلیکیشن ها و پیامرسان ها، پاسخ به تماس ها و استفاده از کلید های پایین موبایل مجاز نیست

زمان تکمیل این آزمون 45 دقیقه میباشد

پس از پاسخ به هر سوال، امکان بازگشت و ویرایش پاسخ وجود ندارد



تایید و ادامه
رشته تحصیلی خود را وارد نمایید *



تایید

نام و نام خانوادگی خود را وارد نمایید *



تایید

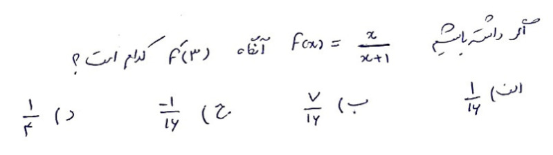
(1 نمره)
دریافت سوال 6



تایید

(1 نمره)
دریافت سوال 19



تایید

(1 نمره)
دریافت سوال 26



تایید

(1 نمره)
دریافت سوال 2



تایید

(1 نمره)
دریافت سوال 35



تایید

(1 نمره)
دریافت سوال 15



تایید

(1 نمره)
دریافت سوال 8



تایید

(1 نمره)
دریافت سوال 33



تایید

(1 نمره)
دریافت سوال 28



تایید

(1 نمره)
دریافت سوال 31



تایید