زیرساخت پایدار برگزاری آزمون آنلاین
www.digiform.ir

آزمون ریاضی 2 به صورت دیجی فرم

طراح :احمدجمالی
ریاضی 2 نوبت دوم 99-1400

digiform

استفاده از اپلیکیشن ها و پیامرسان ها، پاسخ به تماس ها و استفاده از کلید های پایین موبایل مجاز نیست

زمان تکمیل این آزمون 100 دقیقه میباشد



مرحله بعد
نام و نام خانوادگی خود را وارد نمایید *



تایید

كدام گزينه زير مثال نقض دارد؟ (1.25 نمره)



تایید

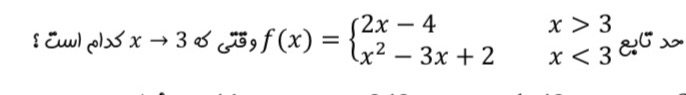
(1.25 نمره)
دریافت سوال 11



تایید

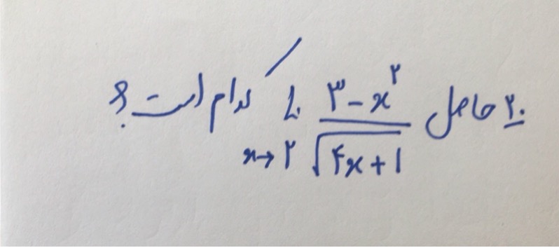
(1.25 نمره)
دریافت سوال 14



تایید

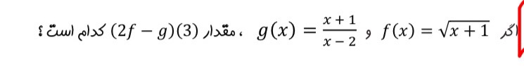
(1.25 نمره)
دریافت سوال 22



تایید

راس سهمي زير كدام است؟ (1.25 نمره)
دریافت سوال 27



تایید

معادله زير چه وضعيتي دارد؟ (1.25 نمره)
دریافت سوال 30



تایید

در كدام نمودار درجه دوم زير
0<a و 0<b  و 0<c است؟
(1.25 نمره)
دریافت سوال 25



تایید

احتمال انكه اراز تا ٢٠ سال اينده به ناراحتي قلبي مبتلا شود ٦/. واحتمال انكه احسان تا ٢٠ سالاينده به ناراحتي قلبي مبتلا شود ٧/. است احتمال انكه هردو تا ٢٠ سال اينده به ناراحتي قلبي مبتلا شوند كدام گزينه است؟ (1.25 نمره)



تایید

در يك خانواده ٣ فرزندي احتمال اينكه حداقل يكي از فرزندان دختر باشد چقدر است؟ (1.25 نمره)



تایید

نقيض گزاره " دو خط موازي يكديگر را قطع نمي كنند" كدام گزينه است؟ (1.25 نمره)



تایید

علامت a و b كدام است؟ (1.25 نمره)
دریافت سوال 29



تایید

(1.25 نمره)
دریافت سوال 10



تایید

(1.25 نمره)
دریافت سوال 7



تایید

اعداد ١تا ٦ را روي ٦ كارت نوشته و سپس دو كارت به تصادف انتخاب ميكنيم. احتمال آنكه مجموع اعداد روي دو كارت زوج باشد، به شرطي كه مجموع آنها مضرب ٣ باشد، كدام است؟ (1.25 نمره)



تایید

نسبت مساحت هاي دو مثلث متشابه ٤٩/٦٨ است. نسبت محيط هاي اين دو مثلث كدامند؟ (1.25 نمره)



تایید

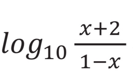
دامنه تابع زير كدام گزينه است؟ (1.25 نمره)
دریافت سوال 43



تایید