زیرساخت پایدار برگزاری آزمون آنلاین
www.digiform.ir

آزمون هشتم درس ریاضی پایانی نوبت دوم به صورت دیجی فرم

بسم الله الرحمن الرحیم 

digiform

استفاده از اپلیکیشن ها و پیامرسان ها، پاسخ به تماس ها و استفاده از کلید های پایین موبایل مجاز نیست

زمان تکمیل این آزمون 80 دقیقه میباشد



تایید و ادامه
نام و نام خانوادگی خود را وارد نمایید *



تایید

نام مدرسه خود را وارد نمایید *



تایید

در متوازی الاضلاع  زیر x چند است؟ (0.75 نمره)
دریافت سوال 24



تایید

(0.75 نمره)
دریافت سوال 11



تایید

(0.75 نمره)
دریافت سوال 19



تایید

(0.75 نمره)
دریافت سوال 15



تایید

حاصل عبارات زیر کدام گزینه است؟  (0.75 نمره)
دریافت سوال 23



تایید

با کدامیک از شکل های زیر نمی توان از یک نوع کاشی استفاده کرد؟ (0.75 نمره)
دریافت سوال 31



تایید

(0.75 نمره)
دریافت سوال 1



تایید

کدام گزینه نمی تواند احتمال یک پیشامد باشد؟ (0.75 نمره)



تایید

مرکز دسته کدام گزینه است؟ (0.75 نمره)
دریافت سوال 2



تایید

(0.75 نمره)
دریافت سوال 5



تایید

کدام دو عدد زیر نسبت به هم اولند؟  (0.75 نمره)



تایید

کمان  BD چند درجه است؟ (0.75 نمره)
دریافت سوال 10



تایید

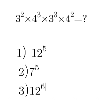
حاصل عدد تواندار زیر کدام است؟ (0.75 نمره)
دریافت سوال 20



تایید

کدام یک از موارد زیر متوازی الاضلاع است؟  (0.75 نمره)
دریافت سوال 26



تایید

حاصل عبارت زیر کدام است؟  (0.75 نمره)
دریافت سوال 30



تایید

(0.75 نمره)
دریافت سوال 16



تایید

(0.75 نمره)
دریافت سوال 18



تایید

دو خط بنفش با هم موازی هستند مقدار x کدام است؟  (0.75 نمره)
دریافت سوال 34



تایید

حاصل عبارت زیر کدام است؟  (0.75 نمره)
دریافت سوال 33



تایید

زاویه محاطی A چند درجه است؟ (0.75 نمره)
دریافت سوال 6



تایید

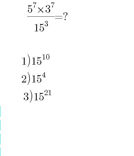
حاصل ضرب زیر کدام است؟  (0.75 نمره)
دریافت سوال 22



تایید

کدام یک از موارد زیر عدد طبیعی است؟  (0.75 نمره)



تایید

مقدار x را به دست بیاورید؟  (0.75 نمره)
دریافت سوال 9



تایید

حاصل عبارت زیر کدام است؟  (0.75 نمره)
دریافت سوال 25



تایید

حاصل عبارت زیر کدام است؟  (0.75 نمره)
دریافت سوال 32



تایید

عقربه چرخنده روی دایره زیر می چرخد احتمال اینکه عقربه روی رنگ قرمز قرار بگیرد، چند است؟ (0.75 نمره)
دریافت سوال 7



تایید

دو مثلث زیر همنهشت هستند مقدار z کدام است؟  (0.75 نمره)
دریافت سوال 38



تایید

حاصل عبارت زیر کدام است؟  (0.75 نمره)
دریافت سوال 21



تایید