زیرساخت پایدار برگزاری آزمون آنلاین
www.digiform.ir

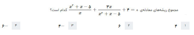
آزمون ریاضی 11 تجربی به صورت دیجی فرم

سوالات تستی خود را انتخاب کنید و پاسخ تشریحی کوتاه جواب ( حداقل یک خط ) خود را به pv شاد من ارسال کنید.

digiform

استفاده از اپلیکیشن ها و پیامرسان ها، پاسخ به تماس ها و استفاده از کلید های پایین موبایل مجاز نیست

زمان تکمیل این آزمون 50 دقیقه میباشد



تایید و ادامه
نام و نام خانوادگی خود را وارد نمایید *



تایید

شماره کلاس خود را وارد نمایید *



تایید

دریافت سوال 5



تایید

دریافت سوال 9



تایید

دریافت سوال 2



تایید

دریافت سوال 3



تایید

دریافت سوال 8



تایید

دریافت سوال 4



تایید

دریافت سوال 6



تایید

دریافت سوال 10



تایید

دریافت سوال 1



تایید

دریافت سوال 7



تایید