زیرساخت پایدار برگزاری آزمون آنلاین
www.digiform.ir

آزمون پایانی نوبت دوم ریاضی و آمار(2) خرداد ماه 1400 به صورت دیجی فرم

با نام و یاد خدا شروع کنید و با آرامش به سوالات پاسخ دهید. آزمون نمره منفی ندارد.

digiform

استفاده از اپلیکیشن ها و پیامرسان ها، پاسخ به تماس ها و استفاده از کلید های پایین موبایل مجاز نیست

زمان تکمیل این آزمون 60 دقیقه میباشد



تایید و ادامه
نام و نام خانوادگی خود را وارد نمایید *



تایید

"نام کلاس "و "شماره خود در لیست کلاسی" را وارد نمایید: *



تایید

(1 نمره)
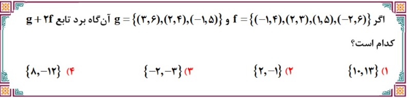
دریافت سوال 32



تایید

(1 نمره)
دریافت سوال 6



تایید

(1 نمره)
دریافت سوال 27



تایید

(1 نمره)
دریافت سوال 43



تایید

(1 نمره)
دریافت سوال 47



تایید

(1 نمره)
دریافت سوال 17



تایید

(1 نمره)
دریافت سوال 30



تایید

(1 نمره)
دریافت سوال 35



تایید

(1 نمره)
دریافت سوال 2



تایید

(1 نمره)
دریافت سوال 41



تایید

(1 نمره)
دریافت سوال 37



تایید

(1 نمره)
دریافت سوال 11



تایید

(1 نمره)
دریافت سوال 7



تایید

(1 نمره)
دریافت سوال 13



تایید

(1 نمره)
دریافت سوال 21



تایید