زیرساخت پایدار برگزاری آزمون آنلاین
www.digiform.ir

آزمون ریاضی پایه نهم به صورت دیجی فرم

به نام خدا سوالات را با دقت پاسخ دهید

digiform

استفاده از اپلیکیشن ها و پیامرسان ها، پاسخ به تماس ها و استفاده از کلید های پایین موبایل مجاز نیست

زمان تکمیل این آزمون 60 دقیقه میباشد



تایید و ادامه
نام و نام خانوادگی خود را وارد نمایید *



تایید

سوال ۵
دریافت سوال 5



تایید

سوال ۴
دریافت سوال 4



تایید

سوال ۶
دریافت سوال 6



تایید

سوال ۲
دریافت سوال 2



تایید

سوال ۱
دریافت سوال 1



تایید

سوال ۸
دریافت سوال 8



تایید

سوال ۷
دریافت سوال 7



تایید

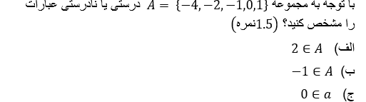
سوال ۳
دریافت سوال 3



تایید