زیرساخت پایدار برگزاری آزمون آنلاین
www.digiform.ir

آزمون ریاضی پایه هشتم فصل اول به صورت دیجی فرم

به نام خدا دانش آموزان عزیز با دقت به سوالات پاسخ دهید

digiform

استفاده از اپلیکیشن ها و پیامرسان ها، پاسخ به تماس ها و استفاده از کلید های پایین موبایل مجاز نیست

زمان تکمیل این آزمون 45 دقیقه میباشد



تایید و ادامه
نام و نام خانوادگی خود را وارد نمایید *



تایید

نام مدرسه خود را وارد نمایید *



تایید

نام معلم خود را وارد نمایید *



تایید

3-گزینه صحیح را انتخاب کنید
دریافت سوال 3



تایید

5)گزینه صحیح را انتخاب کنید
دریافت سوال 5



تایید

15)صفر در کدام دسته از اعداد زیر قرار نمیگیرد



تایید

13-حاصل تقسیم یک بر هر عدد غیر صفر برابر است با..............



تایید

14)بزرگترین عدد صحیح منفی..............است



تایید

6-گزینه صحیح را انتخاب کنید
دریافت سوال 6



تایید

4-گزینه صحیح را انتخاب کنید
دریافت سوال 4



تایید

1-گزینه صحیح را انتخاب کنید
دریافت سوال 1



تایید

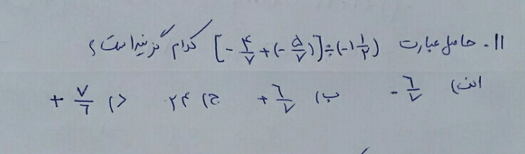
11-گزینه صحیح را انتخاب کنید
دریافت سوال 11



تایید

2-گزینه صحیح را انتخاب کنید
دریافت سوال 2



تایید

7-گزینه صحیح را انتخاب کنید
دریافت سوال 7



تایید

10-گزینه صحیح را انتخاب کنید
دریافت سوال 10



تایید

12-گزینه صحیح را انتخاب کنید
دریافت سوال 12



تایید

8-گزینه صحیح را انتخاب کنید
دریافت سوال 8



تایید

9-گزینه صحیح را انتخاب کنید
دریافت سوال 9



تایید