زیرساخت پایدار برگزاری آزمون آنلاین
www.digiform.ir

آزمون ازمون فصل 4 مشتق به صورت دیجی فرم

آزمون فصل 4

digiform

استفاده از اپلیکیشن ها و پیامرسان ها، پاسخ به تماس ها و استفاده از کلید های پایین موبایل مجاز نیست

زمان تکمیل این آزمون 45 دقیقه میباشد



تایید و ادامه
نام و نام خانوادگی خود را وارد نمایید *



تایید

(1 نمره)
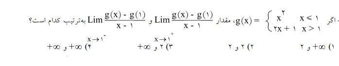
دریافت سوال 1



تایید

(1 نمره)
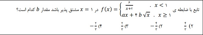
دریافت سوال 2



تایید

(1 نمره)
دریافت سوال 3



تایید

(1 نمره)
دریافت سوال 4



تایید

(1 نمره)
دریافت سوال 5



تایید

(1 نمره)
دریافت سوال 6



تایید

(1 نمره)
دریافت سوال 7



تایید

(1 نمره)
دریافت سوال 8



تایید

(1 نمره)
دریافت سوال 9



تایید

(1 نمره)
دریافت سوال 10



تایید